Las fórmulas de derivadas constituyen una herramienta fundamental en el estudio del cálculo diferencial y, por extensión, en numerosas áreas de las matemáticas aplicadas. Su importancia radica en que permiten analizar cómo cambian las funciones, es decir, describen con precisión la tasa de variación instantánea de una magnitud respecto a otra.
Gracias a estas fórmulas, es posible resolver problemas que van desde la optimización de procesos físicos y económicos, hasta la modelación de fenómenos naturales y el diseño de algoritmos en ingeniería y ciencias computacionales.
En esencia, conocer y dominar las fórmulas de derivadas no solo facilita el análisis matemático, sino que también abre la puerta a comprender y predecir el comportamiento de sistemas complejos en el mundo real.
Tabla de derivadas inmediatas
A continuación se presenta una tabla con alguna de las funciones más usuales presentadas en los libros de texto y su derivada,
representan funciones y
son constantes.
Función simple ![]() | Derivada ![]() |
|---|---|
![]() | ![]() |
![]() | ![]() |
![]() | ![]() |
![]() | ![]() |
![]() | ![]() |
![]() | ![]() |
![]() | ![]() |
![]() | ![]() |
![]() | ![]() |
![]() | ![]() |
![]() | ![]() |
![]() | ![]() |
![]() | ![]() |
![]() | ![]() |
![]() | ![]() |
![]() | ![]() |
![]() | ![]() |
![]() | ![]() |
![]() | ![]() |
![]() | ![]() |
![]() | ![]() |
![]() | ![]() |
![]() | ![]() |
![]() | ![]() |
![]() | ![]() |
Derivadas de funciones compuestas
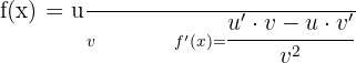
Para el caso de funciones compuestas
, la derivada es conocida como la regla de la cadena. A continuación te presentamos las fórmulas de la tabla anterior, empleando la regla de la cadena
Derivada de una potencia

Derivada de una raíz

Derivada de una raíz cuadrada

Derivada de la función exponencial

Derivada de la función exponencial de base e

Derivada de un logaritmo

Derivada de un logaritmo neperiano

Derivada del seno

Derivada del coseno

Derivada de la tangente

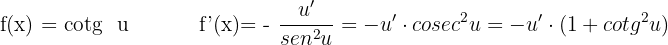
Derivada de la cotangente

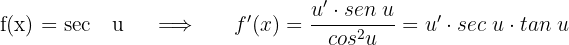
Derivada de la secante

Derivada de la cosecante

Derivada del arcoseno

Derivada del arcocoseno

Derivada del arcotangente

Derivada del arcocotangente

Derivada del arcosecante

Derivada del arcocosecante

Derivada la función potencial-exponencial

Fórmula de la derivada implícita

Resumir con IA:


























































Apuntes es una plataforma dirigida al estudio y la práctica de las matemáticas a través de la teoría y ejercicios interactivos que ponemos a vuestra disposición. Esta información está disponible para todo aquel/aquella que quiera profundizar en el aprendizaje de esta ciencia. Será un placer ayudaros en caso de que tengáis dudas frente algún problema, sin embargo, no realizamos un ejercicio que nos presentéis de 0 sin que hayáis si quiera intentado resolverlo. Ánimo, todo esfuerzo tiene su recompensa.
cordial saludo sera que tu me puedes ayudar a resolver un ejercicio que es dada la función f(x)= X elevada a la 2/3 por entre paréntesis (xa la 2 -8) hallar los valores de X para los cuales esta crece te lo agradecería mucho
La descripcion es erronea donde da la derivada de arcocotangente, ya que dice derivada de arcotangete, se comieron el co, lo que puede llevar a confunciones, como en mi caso que pense que era la derivada de la inversa de tangente, cuando era la derivada de la inversa de cotangente.
Hola entendemos la confusión, pero como sabes en cada lugar toman la notación en forma diferente, en este caso se tomo arccot(x) donde se repite la c para diferenciar de arctan(x).
me pueden ayudar encontrar la derivada de : y=7 elevado a la 4 + e elevado a la x-4 – ln X + 100
Medio tarde me parece mi respuesta, pero simplemente tenes que derivar cada termino independientemente:
7^4=(7.4)^3
e^x-4=e^x-4 (por formula)
lnx=1/x
100=0 (Derivando una constante en terminos de x)
Excelente contenido. Creo es posible mejorar el contenido para que sea más didáctico con más ejemplos, partiendo de lo elemental a lo complejo, para que el texto pueda ser más entendible para estudiantes de secundaria en Costa Rica.
Excelente artículo y muy dinámico.
Agradecemos tu comentario, la verdad estamos trabajando mucho para lograr tener las mejores explicaciones para que sea mas entendible al publico y para ello lo que ustedes recomienden nos ayuda en gran forma, esperamos que en un futuro seamos mejores siguiendo sus sugerencias, otra vez gracias.
Hola podrías hacernos el favor de mostrarnos la función para dar una mejor explicación.