Resolver los siguientes ejercicios propuestos de derivadas
Calcula la derivada de la función logarítmica:
Derivar la función: 
Derivar la función 
Recordemos que
en este caso tenemos que
entonces 
Continuando con la derivada de la función
, tendríamos 
Derivar 
Recordemos que
entonces
pero nuevamente
por lo tanto

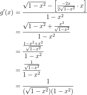
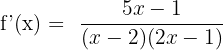
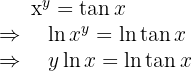
Calcular la derivada de la función: 
Recordemos que si 
Ahora bien, en este caso tendremos que
entonces notemos que
derivando ambos lados de la igualdad anterior, obtenemos
por tanto 
Con esto podemos concluir que 
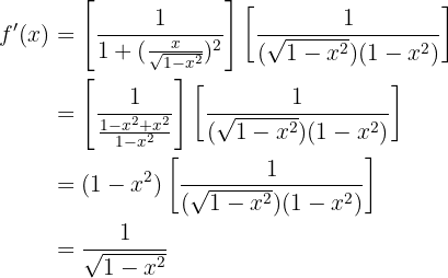
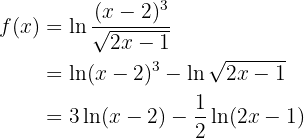
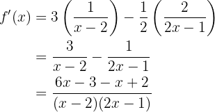
Derivar: 
Para derivar la función
, consideremos
aplicando la definición de logaritmo obtenemos que
por tanto 
Notemos que escribimos a
de manera que nos resulta mas sencillo derivar. Derivando (2) 
Un cuadrado tiene
de lado. Determínese en cuánto aumenta el área del cuadrado cuando su lado lo hace en un milímetro. Calcúlese el error que se comete al usar diferenciales en lugar de incrementos.
La función de área del cuadrado está dada por

entonces su diferencial es

Del problema tenemos que el cuadrado mide de lado
y este lado aumenta
, es decir

Por lo tanto el incremento de área utilizando diferenciales es

Usando incrementos tendríamos que

Por lo tanto el error es 
Hallar la variación de volumen que experimenta un cubo, de arista
, cuando ésta aumenta
su longitud.
La función de volumen está dada por

donde
denota la medida de la arista, entonces su diferencial es

Ahora bien, tenemos que el cubo mide de lado
y este aumenta
en longitud, es decir

Por lo tanto el incremento de volumen es

Calcula el error absoluto y relativo cometido en el cálculo del volumen de una esfera de
de diámetro, medido con un instrumento que aprecia milésimas de centímetro.
Recordemos que volumen de una esfera es

por lo que su diferencial es

En los datos nos dan el volumen de la esfera, por lo que a partir de esta podemos calcular el valor del radio despejando y obtenemos que

nos mencionan que el error de este es de
, es decir

Por lo tanto el error absoluto de volumen es

y el error relativo es

Si el lugar de
se halla
. ¿Cuáles son las aproximaciones del error absoluto y relativo?
Tenemos la función

con diferencial (con lo que se mide el error absoluto)

y error relativo dado por

Tenemos que el incremento de
es de

Entonces el incremento de la función o error absoluto es

y el error relativo es

entonces
por lo tanto

Apuntes es una plataforma dirigida al estudio y la práctica de las matemáticas a través de la teoría y ejercicios interactivos que ponemos a vuestra disposición. Esta información está disponible para todo aquel/aquella que quiera profundizar en el aprendizaje de esta ciencia. Será un placer ayudaros en caso de que tengáis dudas frente algún problema, sin embargo, no realizamos un ejercicio que nos presentéis de 0 sin que hayáis si quiera intentado resolverlo. Ánimo, todo esfuerzo tiene su recompensa.
cordial saludo sera que tu me puedes ayudar a resolver un ejercicio que es dada la función f(x)= X elevada a la 2/3 por entre paréntesis (xa la 2 -8) hallar los valores de X para los cuales esta crece te lo agradecería mucho
La descripcion es erronea donde da la derivada de arcocotangente, ya que dice derivada de arcotangete, se comieron el co, lo que puede llevar a confunciones, como en mi caso que pense que era la derivada de la inversa de tangente, cuando era la derivada de la inversa de cotangente.
Hola entendemos la confusión, pero como sabes en cada lugar toman la notación en forma diferente, en este caso se tomo arccot(x) donde se repite la c para diferenciar de arctan(x).
me pueden ayudar encontrar la derivada de : y=7 elevado a la 4 + e elevado a la x-4 – ln X + 100
Medio tarde me parece mi respuesta, pero simplemente tenes que derivar cada termino independientemente:
7^4=(7.4)^3
e^x-4=e^x-4 (por formula)
lnx=1/x
100=0 (Derivando una constante en terminos de x)
Excelente contenido. Creo es posible mejorar el contenido para que sea más didáctico con más ejemplos, partiendo de lo elemental a lo complejo, para que el texto pueda ser más entendible para estudiantes de secundaria en Costa Rica.
Excelente artículo y muy dinámico.
Agradecemos tu comentario, la verdad estamos trabajando mucho para lograr tener las mejores explicaciones para que sea mas entendible al publico y para ello lo que ustedes recomienden nos ayuda en gran forma, esperamos que en un futuro seamos mejores siguiendo sus sugerencias, otra vez gracias.
Hola podrías hacernos el favor de mostrarnos la función para dar una mejor explicación.