El estudio de la continuidad y la derivabilidad de funciones es esencial para comprender el comportamiento local y global de las mismas. Estas propiedades están estrechamente relacionadas con la suavidad de una curva y con la posibilidad de calcular sus pendientes en cada punto.
Una función es continua en un punto si no presenta "saltos", "agujeros" ni "rupturas" en ese punto. Formalmente, decimos que una función
es continua en
si se cumple que:

Una función es derivable en un punto si existe su derivada en ese punto, es decir, si se puede calcular su pendiente en ese instante. La derivabilidad implica continuidad, pero no ocurre lo contrario: una función puede ser continua en un punto sin ser derivable allí.
A continuación, encontrarás una serie de ejercicios resueltos que te ayudarán a identificar, verificar y entender la continuidad y derivabilidad de funciones, tanto de forma algebraica como gráfica.
Estudiar la continuidad y la derivabilidad de las siguientes funciones:

1En primer lugar estudiamos la continuidad en 

La función es continua.
2Estudiamos la derivabilidad.

La función es polinomial, por tanto es derivable en todos los puntos.

1En primer lugar estudiamos la continuidad en 

La función es continua.
2Estudiamos la derivabilidad.

La función es polinomial, por tanto es derivable en todos los puntos.

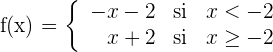
1En primer lugar estudiamos la continuidad en 

La función es no es continua.
2Como la función no es continua en
, entonces no es derivable en dicho punto.

1En primer lugar estudiamos la continuidad en
, ya que el denominador nunca se anula.

La función es continua.
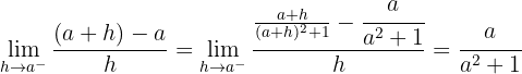
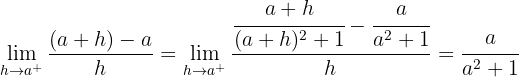
2Estudiamos la derivabilidad.


Puesto que las derivadas laterales en
son iguales, la función es derivable en dicho punto.

Primero notamos que

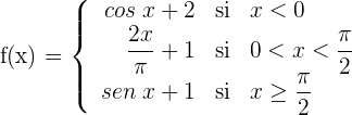
1En primer lugar estudiamos la continuidad en 

La función es continua.
2Estudiamos la derivabilidad.


Puesto que las derivadas laterales en
son distintas, la función no es derivable en dicho punto.

1En primer lugar estudiamos la continuidad en 

La función es continua.
2Estudiamos la derivabilidad.


Puesto que las derivadas laterales en
son distintas, la función no es derivable en dicho punto.

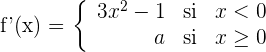
1En primer lugar estudiamos la continuidad en 

La función no es continua, por lo tanto tampoco derivable.

1En primer lugar estudiamos la continuidad en 

La función es continua.
2Estudiamos la derivabilidad.


Puesto que las derivadas laterales en
son distintas, la función no es derivable en dicho punto.

1Pasamos a una función a trozos

2Estudiamos la continuidad en 

La función es continua en todo
.
3Estudiamos la derivabilidad.

Puesto que las derivadas laterales en
son distintas, la función no es derivable en dicho punto.

En
hay un pico, por lo que no es derivable en dicho punto.

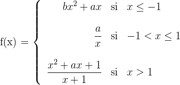
1Pasamos a una función a trozos

2Estudiamos la continuidad en
y 


La función es continua en todo
.
3Estudiamos la derivabilidad.



Puesto que las derivadas laterales en
y en
son distintas, la función no es derivable en dichos puntos.

Podemos observar que en x = 2 y en x = 3 tenemos dos puntos angulosos, por lo que la función no será derivable en ellos.

1La función no es continua en
porque no tiene imagen. Por tanto tampoco es derivable.Estudiamos la continuidad en 

La función es continua en
.
2Estudiamos la derivabilidad.


Puesto que las derivadas laterales son distintas, la función no es derivable en
.
Dada la función:

¿Para qué valores de
es derivable?
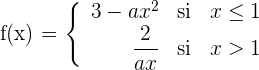
1Estudiamos la continuidad en 

Para que la función sea continua en
, se requiere que los límites laterales sean iguales

2Estudiamos la derivabilidad en 


Derivable para
. Para
la función no es continua.
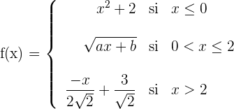
Estudiar para qué valores de
y
la función es continua y derivable:

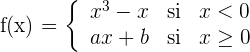
1Estudiamos la continuidad en 

Para que la función sea continua en
, se requiere que los límites laterales sean iguales, entonces 
2Estudiamos la derivabilidad en 


Derivable para
.
Determinar los valores de
y
para quien la siguiente función sea derivable en todos sus puntos:

Para qué una función sea derivable en todos sus puntos tiene que ser continua en todos sus puntos. En este caso la función no es continua en
porque no tiene imagen, la función no está definida en ese punto, el resultado de
no es un número real.
No existen valores de
y
que hagan continua la función.
Por tanto, no existen valores de
y
para los cuales la función sea derivable.
Estudiar para qué valores de
y
la función es continua y derivable:

1Estudiamos la continuidad en
y 


Para que la función sea continua en todo
, se requiere que
y 
2Estudiamos la derivabilidad en
y 


No es derivable en
.

Es derivable en
.
Resumir con IA:

Apuntes es una plataforma dirigida al estudio y la práctica de las matemáticas a través de la teoría y ejercicios interactivos que ponemos a vuestra disposición. Esta información está disponible para todo aquel/aquella que quiera profundizar en el aprendizaje de esta ciencia. Será un placer ayudaros en caso de que tengáis dudas frente algún problema, sin embargo, no realizamos un ejercicio que nos presentéis de 0 sin que hayáis si quiera intentado resolverlo. Ánimo, todo esfuerzo tiene su recompensa.
cordial saludo sera que tu me puedes ayudar a resolver un ejercicio que es dada la función f(x)= X elevada a la 2/3 por entre paréntesis (xa la 2 -8) hallar los valores de X para los cuales esta crece te lo agradecería mucho
La descripcion es erronea donde da la derivada de arcocotangente, ya que dice derivada de arcotangete, se comieron el co, lo que puede llevar a confunciones, como en mi caso que pense que era la derivada de la inversa de tangente, cuando era la derivada de la inversa de cotangente.
Hola entendemos la confusión, pero como sabes en cada lugar toman la notación en forma diferente, en este caso se tomo arccot(x) donde se repite la c para diferenciar de arctan(x).
me pueden ayudar encontrar la derivada de : y=7 elevado a la 4 + e elevado a la x-4 – ln X + 100
Medio tarde me parece mi respuesta, pero simplemente tenes que derivar cada termino independientemente:
7^4=(7.4)^3
e^x-4=e^x-4 (por formula)
lnx=1/x
100=0 (Derivando una constante en terminos de x)
Excelente contenido. Creo es posible mejorar el contenido para que sea más didáctico con más ejemplos, partiendo de lo elemental a lo complejo, para que el texto pueda ser más entendible para estudiantes de secundaria en Costa Rica.
Excelente artículo y muy dinámico.
Agradecemos tu comentario, la verdad estamos trabajando mucho para lograr tener las mejores explicaciones para que sea mas entendible al publico y para ello lo que ustedes recomienden nos ayuda en gran forma, esperamos que en un futuro seamos mejores siguiendo sus sugerencias, otra vez gracias.
Hola podrías hacernos el favor de mostrarnos la función para dar una mejor explicación.