Capítulos
Definición de derivada
Existen varias formas de definir la derivada, estás tienen que ver con geometría, física, economía, pero al final todas son la misma.
Desde el punto de vista geométrico, la derivada representa la pendiente de la recta tangente a la gráfica de la función. La derivada de una función
viene dada por

Se dice que la derivada de
existe si el límite existe; en caso de que el límite no exista, se dice que la derivada no existe.
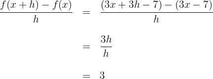
Ejercicio de derivada de una función lineal
1Encontrar la derivada mediante límites de 
1Encontramos 

2Calculamos el cociente de la definición de derivada y simplificamos
3La derivada resulta de calcular el límite cuando
tiende a cero al cociente anterior

Ejercicios de derivadas de funciones cuadráticas
2Encontrar la derivada mediante límites de 
1Encontramos 

2Calculamos el cociente de la definición de derivada y simplificamos
3La derivada resulta de calcular el límite cuando
tiende a cero al cociente anterior

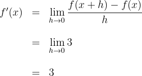
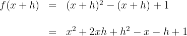
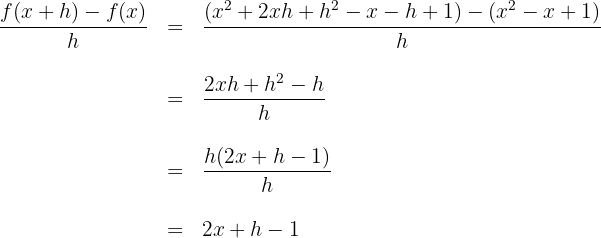
3Encontrar la derivada mediante límites de 
1Encontramos 

2Calculamos el cociente de la definición de derivada y simplificamos
3La derivada resulta de calcular el límite cuando
tiende a cero al cociente anterior

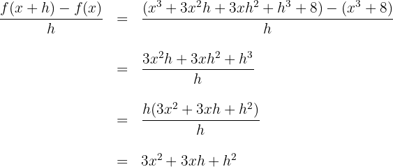
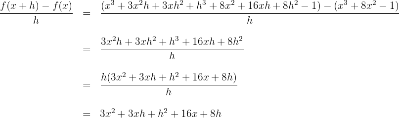
Ejercicios de derivadas de funciones cúbicas
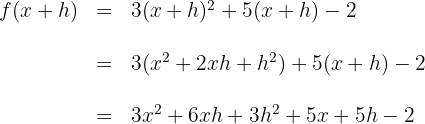
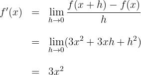
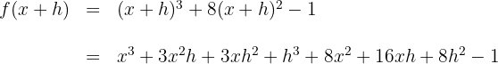
4Encontrar la derivada mediante límites de 
1Encontramos 

2Calculamos el cociente de la definición de derivada y simplificamos
3La derivada resulta de calcular el límite cuando
tiende a cero al cociente anterior

5Encontrar la derivada mediante límites de 
1Encontramos 

2Calculamos el cociente de la definición de derivada y simplificamos
3La derivada resulta de calcular el límite cuando
tiende a cero al cociente anterior

Ejercicio de derivadas de cocientes
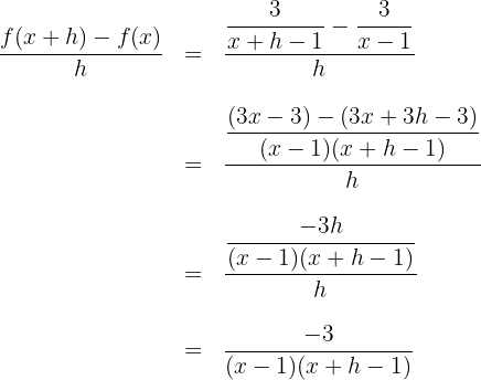
6Encontrar la derivada mediante límites de 
1Encontramos 

2Calculamos el cociente de la definición de derivada y simplificamos
3La derivada resulta de calcular el límite cuando
tiende a cero al cociente anterior

7Encontrar la derivada mediante límites de 
1Encontramos 

2Calculamos el cociente de la definición de derivada y simplificamos
3La derivada resulta de calcular el límite cuando
tiende a cero al cociente anterior

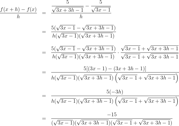
Ejercicios de derivadas de raíces
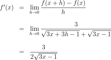
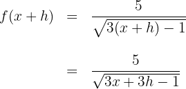
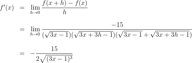
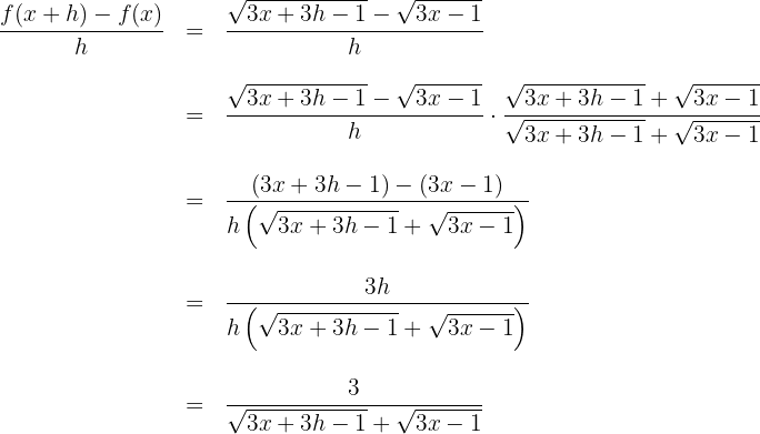
8Encontrar la derivada mediante límites de 
1Encontramos 

2Calculamos el cociente de la definición de derivada y racionalizamos para tratar con el denominador 
3La derivada resulta de calcular el límite cuando
tiende a cero al cociente anterior

9Encontrar la derivada mediante límites de 
1Encontramos 

2Calculamos el cociente de la definición de derivada y racionalizamos para tratar con el denominador 
3La derivada resulta de calcular el límite cuando
tiende a cero al cociente anterior

Ejercicio donde no existe la derivada
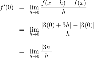
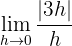
10Encontrar la derivada mediante límites de
en 
1Encontramos 

2Calculamos el cociente de la definición de derivada
3La derivada resulta de calcular el límite cuando
tiende a cero al cociente anterior en 

4La función valor absoluto se expresa de la forma

Así, los límites laterales para
no son iguales

y por tanto la derivada de
en
no existe
Resumir con IA:









Apuntes es una plataforma dirigida al estudio y la práctica de las matemáticas a través de la teoría y ejercicios interactivos que ponemos a vuestra disposición. Esta información está disponible para todo aquel/aquella que quiera profundizar en el aprendizaje de esta ciencia. Será un placer ayudaros en caso de que tengáis dudas frente algún problema, sin embargo, no realizamos un ejercicio que nos presentéis de 0 sin que hayáis si quiera intentado resolverlo. Ánimo, todo esfuerzo tiene su recompensa.
cordial saludo sera que tu me puedes ayudar a resolver un ejercicio que es dada la función f(x)= X elevada a la 2/3 por entre paréntesis (xa la 2 -8) hallar los valores de X para los cuales esta crece te lo agradecería mucho
La descripcion es erronea donde da la derivada de arcocotangente, ya que dice derivada de arcotangete, se comieron el co, lo que puede llevar a confunciones, como en mi caso que pense que era la derivada de la inversa de tangente, cuando era la derivada de la inversa de cotangente.
Hola entendemos la confusión, pero como sabes en cada lugar toman la notación en forma diferente, en este caso se tomo arccot(x) donde se repite la c para diferenciar de arctan(x).
me pueden ayudar encontrar la derivada de : y=7 elevado a la 4 + e elevado a la x-4 – ln X + 100
Medio tarde me parece mi respuesta, pero simplemente tenes que derivar cada termino independientemente:
7^4=(7.4)^3
e^x-4=e^x-4 (por formula)
lnx=1/x
100=0 (Derivando una constante en terminos de x)
Excelente contenido. Creo es posible mejorar el contenido para que sea más didáctico con más ejemplos, partiendo de lo elemental a lo complejo, para que el texto pueda ser más entendible para estudiantes de secundaria en Costa Rica.
Excelente artículo y muy dinámico.
Agradecemos tu comentario, la verdad estamos trabajando mucho para lograr tener las mejores explicaciones para que sea mas entendible al publico y para ello lo que ustedes recomienden nos ayuda en gran forma, esperamos que en un futuro seamos mejores siguiendo sus sugerencias, otra vez gracias.
Hola podrías hacernos el favor de mostrarnos la función para dar una mejor explicación.