Capítulos
Fórmula de la derivada del seno
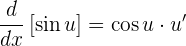
Consideremos la función
, entonces su derivada está dada por

Si consideramos que el argumento es una función
, es decir,
, entonces la derivada es

para poder utilizar la regla de la cadena.
Demostración: Para demostrar que la derivada del seno es el coseno, debemos recordar dos límites notables:

y

Con esto, ya podemos encontrar el límite de
utilizando la definición. Utilizaremos la identidad de la suma de ángulos para el seno:

por lo que la derivada es:

Ejemplos
Calcula la derivada de las siguientes funciones:
1 
Aquí debemos utilizar la regla de la cadena con
, por lo que
y

2 
Al igual que en el ejemplo anterior, utilizamos la regla de la cadena. En este caso
y
. Por lo tanto,

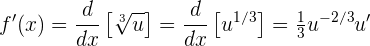
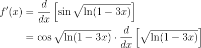
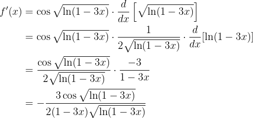
3 
Ahora el argumento del seno es
. Tenemos que
por lo que

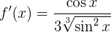
4 
Notemos que
. Por tanto, debemos utilizar la regla de la cadena, pero utilizando
. De este modo:

Sin embargo,
y
, por lo que

5 
Al igual que en el caso anterior, tenemos una regla de la cadena donde
. Por tanto,

Luego, como
y
, entonces

Por lo tanto, la derivada es

6 
Aquí tenemos doble composición. Podemos notar que
y que
(ahí utilizamos ya la regla de la cadena). Por tanto,

Por lo que

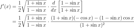
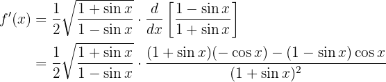
7 
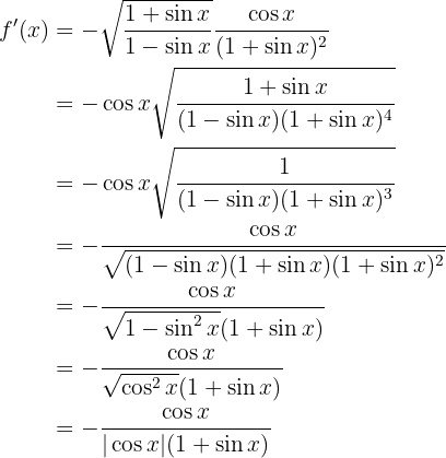
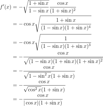
A partir de este ejercicio ya no utilizaremos
para denotar algunas funciones en la composición de estas. Por el contrario, iremos derivando y explicando cada paso:

Donde sólo hemos derivado la raíz. Ahora, derivamos el cociente:

Por último, simplificamos:

Todavía podemos simplificar un poco más:

que es lo más que podemos simplificar:

Debemos tener cuidado en no decir que
, ya que eso no es verdad.
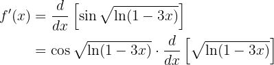
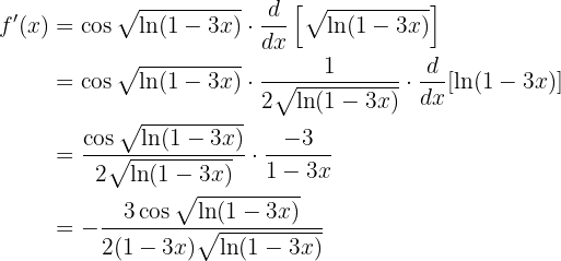
8 
Para derivar esta función, observemos que

A partir de aquí sólo debemos repetir la regla de la cadena:

que es el resultado de la derivada.
9 
Utilizamos la regla de la cadena depetidamente:










Apuntes es una plataforma dirigida al estudio y la práctica de las matemáticas a través de la teoría y ejercicios interactivos que ponemos a vuestra disposición. Esta información está disponible para todo aquel/aquella que quiera profundizar en el aprendizaje de esta ciencia. Será un placer ayudaros en caso de que tengáis dudas frente algún problema, sin embargo, no realizamos un ejercicio que nos presentéis de 0 sin que hayáis si quiera intentado resolverlo. Ánimo, todo esfuerzo tiene su recompensa.
La descripcion es erronea donde da la derivada de arcocotangente, ya que dice derivada de arcotangete, se comieron el co, lo que puede llevar a confunciones, como en mi caso que pense que era la derivada de la inversa de tangente, cuando era la derivada de la inversa de cotangente.
Hola entendemos la confusión, pero como sabes en cada lugar toman la notación en forma diferente, en este caso se tomo arccot(x) donde se repite la c para diferenciar de arctan(x).
me pueden ayudar encontrar la derivada de : y=7 elevado a la 4 + e elevado a la x-4 – ln X + 100
Medio tarde me parece mi respuesta, pero simplemente tenes que derivar cada termino independientemente:
7^4=(7.4)^3
e^x-4=e^x-4 (por formula)
lnx=1/x
100=0 (Derivando una constante en terminos de x)
Excelente contenido. Creo es posible mejorar el contenido para que sea más didáctico con más ejemplos, partiendo de lo elemental a lo complejo, para que el texto pueda ser más entendible para estudiantes de secundaria en Costa Rica.
Excelente artículo y muy dinámico.
Agradecemos tu comentario, la verdad estamos trabajando mucho para lograr tener las mejores explicaciones para que sea mas entendible al publico y para ello lo que ustedes recomienden nos ayuda en gran forma, esperamos que en un futuro seamos mejores siguiendo sus sugerencias, otra vez gracias.
Hola: El últipo ejercicio de aplicación me parece que es incorrecto ya que no está obteniendo la derivada del volumen del cono
Hola si te refieres al triángulo que gira, si se derivo el volumen, si estoy equivocado por favor indícamelo.