Calcular la derivada
Calcular las derivadas en los puntos que se indica:
-
en
. -
en
. -
en
. -
en
.
Recordemos que una manera de calcular la derivada es a través de su definición, esto es, calculando el siguiente límite

1
en 
Obtener la derivada

Eliminamos paréntesis desarrollando

Cancelamos términos y factorizamos la
en el numerador

Simplificamos y calculamos el límite

Finalmente

Evaluar
Evaluamos la derivada en el punto 

2
en
.
Obtener la derivada

Eliminamos paréntesis desarrollando

Cancelamos términos y factorizamos la
en el numerador

Simplificamos y calculamos el límite

Finalmente

Evaluar
Evaluamos la derivada en el punto 

3
en 
Obtener la derivada

Desarrollamos

Simplificamos y calculamos el límite

Evaluar
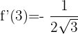
Evaluamos la derivada en el punto 

4
en
.
Obtener la derivada

Mutliplicamos por el conjugado para racionalizar

Desarrollamos

Simplificamos y calculamos el límite

Evaluar
Evaluamos la derivada en el punto 

¿Cuál es la velocidad que lleva un vehículo se mueve según la ecuación
en el quinto segundo de su recorrido? El espacio se mide en metros y el tiempo en segundos.
Obtener la derivada
La velocidad es igual a la derivada de la ecuación de posición, en este caso 

Eliminamos paréntesis desarrollando

Cancelamos términos y factorizamos la
en el numerador

Simplificamos y calculamos el límite

Evaluar

Encontrar las coordenadas
Dada la curva de ecuación
, halla las coordenadas de los puntos de dicha curva en los que la tangente forma con el eje OX un ángulo de 45°.
Obtener la derivada

Eliminamos paréntesis desarrollando

Cancelamos términos y factorizamos la
en el numerador

Simplificamos y calculamos el límite

Igualar la derivada y obtener el valor de la abscisa
Queremos que la recta tangente a la curva forme un ángulo de 45° con el eje OX, es decir, queremos que su pendiente tenga de valor 

Esto es,

Obtener la ordenada y encontrar el punto
Evaluamos el punto
en
y así obtenemos la ordenada del punto

Estudiar continuidad y derivabilidad
Debido a unas pésimas condiciones ambientales, una colonia de un millón de bacterias no comienza su reproducción hasta pasados dos meses. La función que representa la población de la colonia al variar el tiempo (expresado en meses) viene dada por:

Se pide:
-
Verificar que la población es función continua del tiempo.
-
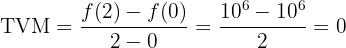
Calcular la tasa de variación media de la población en los intervalos [0, 2] y [0, 4].
-
Calcular la tasa de variación instantánea en t = 4.
1 Continuidad
Una función constante y exponencial son continuas, por lo que claramente
es continua en
.
Resta verificar si
es continua en el punto 



Como estos tres valores son iguales, la función es continua en 2, y con esto, es continua en todos los puntos.
2 Tasa de variación media en [0, 2] y [0, 4]
En [0, 2]

En [0, 4]

3 Tasa de variación instantánea en t = 4
La derivada está dada por la función

La derivada en t=4 es

Se ha hallado la derivada de la función exponencial mediante la fórmula inmediata.
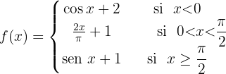
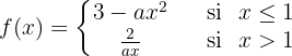
Hallar el punto en que
no tiene derivada. Justificar el resultado representando su gráfica.
La función
es equivalente a la siguiente función
Estudiamos la continuidad en 
Podemos verificar que

Y por lo tanto la función es continua en toda 
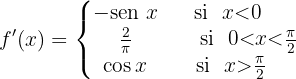
Por otro lado, la función derivada está dada por

Estudiamos la derivabilidad en 
Entonces el límite izquierdo y derecho están dados por


Como no son iguales podemos concluir que
no es derivable en:
.
Analizamos la gráfica

En
hay un pico, por lo que no es derivable en ese punto.
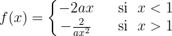
Hallar los puntos en que
no tiene derivada. Justificar el resultado representando su gráfica.
La función
es equivalente a la siguiente función

La función es claramente continua y derivable para los valores
,
y 
Sólo queda verificar si lo es en los puntos
y 
Estudiamos la continuidad en
y en 
Podemos verificar que


Entonces la función es continua en toda
.
Estudiamos la derivabilidad en
y 

Podemos verificar que los límites laterales en 


Y los límites laterales en
son


Como no coinciden las derivadas laterales la función no será derivable en:
y
.
Analizamos la gráfica

Podemos observar que en
y en
tenemos dos puntos angulosos, por lo que la función no será derivable en ellos.
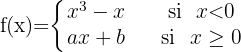
Estudiar la continuidad y derivabilidad de la función definida por:

La función no es continua en x = 0 porque no tiene imagen. Por tanto tampoco es derivable.
Estudiamos la continuidad en 
El valor en la función es

Los límites laterales son

Como estos son iguales la función tiene límite en este punto y además

Por lo tanto
es continua en 
Veamos si es derivable mediante las fórmulas de derivadas trigonómetricas inmediatas.

Calculamos los límites laterales de la función derivada en 


Como las derivadas laterales no coinciden no es derivable en el punto.
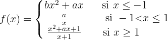
Hallar parámetros
Dada la función:

¿Para qué valores de a es derivable?
Estudiamos la continuidad en 



Para que sea continua los límites laterales tienen que ser iguales

Resolvemos la cuadrática

Estudiamos la derivabilidad en 

Los límites laterales de la derivada son


Para que sea derivable los límites laterales tienen que ser iguales

Para ser derivable también tiene que ser continua así que sólo es derivable para
, pues para
no es continua
Estudiar para qué valores de a y b la función es continua y derivable:

Estudiamos la continuidad en x = 0



Para que sea continua los límites laterales tienen que ser iguales

Estudiamos la derivabilidad en x = 0



Para que sea derivable los límites laterales tienen que ser iguales

Determinar los valores de a y b para que la siguiente función sea derivable en todos sus puntos:

Para qué una función sea derivable en todos sus puntos tiene que ser continua en todos sus puntos. En este caso la función no es continua en x = 0 porque no tiene imagen, la función no está definida en ese punto, el resultado de a/0 no es un número real.
No existen valores de a y b que hagan continua la función.
Por tanto, no existen valores de a y b para los cuales la función sea derivable.
Resumir con IA:

Apuntes es una plataforma dirigida al estudio y la práctica de las matemáticas a través de la teoría y ejercicios interactivos que ponemos a vuestra disposición. Esta información está disponible para todo aquel/aquella que quiera profundizar en el aprendizaje de esta ciencia. Será un placer ayudaros en caso de que tengáis dudas frente algún problema, sin embargo, no realizamos un ejercicio que nos presentéis de 0 sin que hayáis si quiera intentado resolverlo. Ánimo, todo esfuerzo tiene su recompensa.
cordial saludo sera que tu me puedes ayudar a resolver un ejercicio que es dada la función f(x)= X elevada a la 2/3 por entre paréntesis (xa la 2 -8) hallar los valores de X para los cuales esta crece te lo agradecería mucho
La descripcion es erronea donde da la derivada de arcocotangente, ya que dice derivada de arcotangete, se comieron el co, lo que puede llevar a confunciones, como en mi caso que pense que era la derivada de la inversa de tangente, cuando era la derivada de la inversa de cotangente.
Hola entendemos la confusión, pero como sabes en cada lugar toman la notación en forma diferente, en este caso se tomo arccot(x) donde se repite la c para diferenciar de arctan(x).
me pueden ayudar encontrar la derivada de : y=7 elevado a la 4 + e elevado a la x-4 – ln X + 100
Medio tarde me parece mi respuesta, pero simplemente tenes que derivar cada termino independientemente:
7^4=(7.4)^3
e^x-4=e^x-4 (por formula)
lnx=1/x
100=0 (Derivando una constante en terminos de x)
Excelente contenido. Creo es posible mejorar el contenido para que sea más didáctico con más ejemplos, partiendo de lo elemental a lo complejo, para que el texto pueda ser más entendible para estudiantes de secundaria en Costa Rica.
Excelente artículo y muy dinámico.
Agradecemos tu comentario, la verdad estamos trabajando mucho para lograr tener las mejores explicaciones para que sea mas entendible al publico y para ello lo que ustedes recomienden nos ayuda en gran forma, esperamos que en un futuro seamos mejores siguiendo sus sugerencias, otra vez gracias.
Hola podrías hacernos el favor de mostrarnos la función para dar una mejor explicación.