La altura de un polígono se define como la medida de cada una de las rectas perpendiculares trazadas desde un vértice al lado opuesto (o su prolongación).


Ortocentro
En el caso particular de un triángulo existe un punto donde se intersectan las tres rectas perpendiculares trazadas desde cada uno de los vértices a través de su lado opuesto. Dicho punto recibe el nombre de ortocentro

Altura del triángulo equilátero
Recordemos que un triángulo equilatero es aquel que tiene tres lados iguales. Para encontrar la altura de un triángulo de este tipo trazamos una recta perpendicular desde uno de sus vertices hasta su lado opuesto y calculamos su magnitud usando el teorema de Pitagoras.

Al considerar el triángulo rectángulo de las dos
,
y
podemos aplicar el teorema de Pitagoras para encontrar el valor de
.
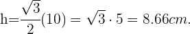
Ejemplo
Calcular la altura de un triángulo equilátero de
de lado.

En este caso particular tenemos que el lado de nuestro triángulo vale
. La formula anterior para la altura solo depende del valor del lado, por lo tanto podemos concluir que
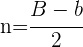
Altura del trapecio isósceles
Un trapecio isósceles tiene dos bases, una menor
y una mayor
que son paralelos y dos lados oblicuos que miden
. La altura de este trapecio es la distancia que hay entre las bases y se puede calcular usando el teorema de Pitagoras nuevamente.

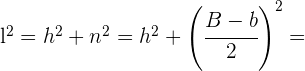
Consideramos el triángulo formado por el lado
, la altura
y
. Al aplicar el teorema de Pitagoras a este triángulo rectángulo obtenemos que
Ejemplo
Calcular la altura de un trapecio isósceles cuyas bases miden
y
, y lado mide
.

Usando la formula anterior y teniendo en cuenta que
,
y
, entonces









Apuntes es una plataforma dirigida al estudio y la práctica de las matemáticas a través de la teoría y ejercicios interactivos que ponemos a vuestra disposición. Esta información está disponible para todo aquel/aquella que quiera profundizar en el aprendizaje de esta ciencia. Será un placer ayudaros en caso de que tengáis dudas frente algún problema, sin embargo, no realizamos un ejercicio que nos presentéis de 0 sin que hayáis si quiera intentado resolverlo. Ánimo, todo esfuerzo tiene su recompensa.
La respuesta de la pregunta de la número 8 es 45 unidades cuadradas y coloco 45 y sale en rojo no entiendo
Hola tu respuesta esta bien, disculpa por la respuesta estamos trabajando en ello.
8 un rectangulo tiene ancho 3 unidades.el largo del rectangulo es 5 vaces su ancho.
Cual es el area del rectangulo.
45 u2
Si, así es esa es la respuesta, estamos trabajando en ello.
8 Un rectángulo tiene un ancho de 3 unidades. El largo del rectángulo es 5 veces su ancho. ¿Cuál es el área del rectángulo?
45u²
unidades
El largo es
Ahora bien, su área es
hola
No,entiendo si estoy poniendo bien el resultado por que me dice que esta mal ? si,estoy poniendo el resultado que aparece en la solución ya lo corregi 5 veces esta mal copiado ? por favor me dicen cual es el problema
Hola tienes razón, tu resultado es correcto, pero en este momento estamos remodelando la pagina y corriendo errores así que pronto vamos a corregir este que mencionas.
Hola gracias por el aporte, estamos trabajando en ello, una disculpa.