En todo triángulo rectángulo el cuadrado de la hipotenusa es igual a la suma de los cuadrados de los catetos.
De donde se desprende que


Ahora bien, utilizando el teorema de Pitágoras obtendremos el lado de un triangulo equilátero y un cuadrado inscrito.
Lado de un triángulo equilátero inscrito
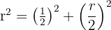
Queremos obtener el lado "l" de un triangulo equilátero inscrito. Sea "r" el radio de la circunferencia y consideremos el triangulo rectángulo sombreado de la figura.

Notemos que la hipotenusa del triangulo rectángulo es
, y los catetos están conformados por la mitad de un lado
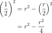
y la mitad del radio
, entonces
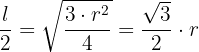
Despejando
entonces
Por tanto
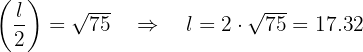
Ejemplo:

Del teorema de Pitágoras
entonces
Lado de un cuadrado inscrito
Sea "l" el lado de un cuadrado inscrito y "r" el radio de la circunferencia. Consideremos el triangulo rectángulo (sombrado en la figura) formado por dos radios que serán los catetos y un lado del cuadrado que será la hipotenusa,

entonces
Ejemplo:

Puesto que el radio del ejemplo es
entonces el lado será









Apuntes es una plataforma dirigida al estudio y la práctica de las matemáticas a través de la teoría y ejercicios interactivos que ponemos a vuestra disposición. Esta información está disponible para todo aquel/aquella que quiera profundizar en el aprendizaje de esta ciencia. Será un placer ayudaros en caso de que tengáis dudas frente algún problema, sin embargo, no realizamos un ejercicio que nos presentéis de 0 sin que hayáis si quiera intentado resolverlo. Ánimo, todo esfuerzo tiene su recompensa.
La respuesta de la pregunta de la número 8 es 45 unidades cuadradas y coloco 45 y sale en rojo no entiendo
Hola tu respuesta esta bien, disculpa por la respuesta estamos trabajando en ello.
8 un rectangulo tiene ancho 3 unidades.el largo del rectangulo es 5 vaces su ancho.
Cual es el area del rectangulo.
45 u2
Si, así es esa es la respuesta, estamos trabajando en ello.
8 Un rectángulo tiene un ancho de 3 unidades. El largo del rectángulo es 5 veces su ancho. ¿Cuál es el área del rectángulo?
45u²
unidades
El largo es
Ahora bien, su área es
hola
No,entiendo si estoy poniendo bien el resultado por que me dice que esta mal ? si,estoy poniendo el resultado que aparece en la solución ya lo corregi 5 veces esta mal copiado ? por favor me dicen cual es el problema
Hola tienes razón, tu resultado es correcto, pero en este momento estamos remodelando la pagina y corriendo errores así que pronto vamos a corregir este que mencionas.
Hola gracias por el aporte, estamos trabajando en ello, una disculpa.