Se le denomina lúnula a la superficie comprendida entre dos arcos de circunferencia cuando estos forman una figura no convexa. En este artículo explicaremos cómo construir dicha lúnula y calcularemos su área.
Construcción de una lúnula de Hipócrates
Para la construcción debemos seguir los siguientes pasos:
1 Partimos de un triángulo isóceles rectángulo 

2 Con centro en
se traza el arco 

3 Con centro en
, que es el punto medio de la hipotenusa del triángulo, se traza el otro arco de circunferencia.

La parte enmarcada por el color rojo se le conoce como lúnula de Hipócrates.

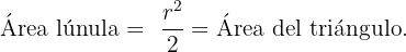
Área de la lúnula
Si
denota la longitud de los dos lados iguales del triángulo isóceles anterior, entonces se tiene que:
- El área del triángulo, utilizando la fórmula de (base)
(altura)
, es
, ya que tanto la base como la altura miden 
- Si
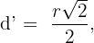
denota la hipotenusa del triángulo entonces utilizando el Teorema de Pitágoras obtenemos que

-
Si
denota la longitud del segmento
, entonces
ya que es la mitad del segmento 

- Nótese que, la región naranja es la mitad del círculo con centro en
y radio
. Por lo tanto usando la fórmula para el área de un círculo
donde
es el radio, obtenemos que el área sombreada en naranja es


- Ahora observamos que la región sombreada en azul corresponde a la diferencia entre el cuarto del círculo con centro en
y de radio
que pasa por
y
, con el triángulo
, es decir, si al sector circular
le quitamos la región que conforma el tríangulo
, obtenemos la región sombreada en azul.

Así el área de la región sombreada en azul es

Con las observaciones anteriores podemos concluir que el área de la lúnula está dada por


Por lo tanto concluimos que










Apuntes es una plataforma dirigida al estudio y la práctica de las matemáticas a través de la teoría y ejercicios interactivos que ponemos a vuestra disposición. Esta información está disponible para todo aquel/aquella que quiera profundizar en el aprendizaje de esta ciencia. Será un placer ayudaros en caso de que tengáis dudas frente algún problema, sin embargo, no realizamos un ejercicio que nos presentéis de 0 sin que hayáis si quiera intentado resolverlo. Ánimo, todo esfuerzo tiene su recompensa.
8 un rectangulo tiene ancho 3 unidades.el largo del rectangulo es 5 vaces su ancho.
Cual es el area del rectangulo.
45 u2
8 Un rectángulo tiene un ancho de 3 unidades. El largo del rectángulo es 5 veces su ancho. ¿Cuál es el área del rectángulo?
45u²
unidades
El largo es
Ahora bien, su área es
hola
No,entiendo si estoy poniendo bien el resultado por que me dice que esta mal ? si,estoy poniendo el resultado que aparece en la solución ya lo corregi 5 veces esta mal copiado ? por favor me dicen cual es el problema
Hola tienes razón, tu resultado es correcto, pero en este momento estamos remodelando la pagina y corriendo errores así que pronto vamos a corregir este que mencionas.
Todo bien con los otros ejercicios pero no me fue posible realizar el 1 y 2
Hola estamos a tu disposición para cualquier duda, solo menciona de manera especifica donde te atoras y con gusto te ayudamos.
Hola, soy Clarisa Israel, Ingeniera en Construcciones. Entiendo que el Romboide es un cuadrilátero con caracteristicas especiales y su nombre indica que tiene un parecido con el Rombo. Ese parecido tiene que ver con que sus diagonales son perpendiculares, y se cortan en el punto medio de una de ellas pero no de la otra. De esa manera al unir los puntos, 2 de sus lados consecutivos resultan de igual longitud y los 2 restantes también tienen igual longitud pero distinta a la de los primeros. NO es un paralelogramo pues sus lados opuestos no son paralelos. Tiene la típica forma de un Barrilete.
El material del sitio me parece muy interesante!!
Espero consideren este comentario.
Atentamente
Hola muchas gracias por tu aportación, lo tomaremos en cuenta para mejorar en nuestro contenido.
Se cumple que BM = MC y AQ = QM con A – Q – M y B – M − C. Si a(ABQ) = 8 ul^2, determine el área del ∆ABC.