Resuelve los siguientes problemas:
La hipotenusa de un triángulo rectángulo mide
cm y uno de sus catetos mide
cm. ¿Cuál es la medida del otro cateto?
cm
Este campo es obligatorio.
Aplicamos el teorema de Pitágoras:


Tenemos dos triángulos. Un triángulo
cuyas medidas son
y
y otro
de medidas
y
. Escribe sí o no para indicar si los triángulos son o no rectángulos.
Este campo es obligatorio.
En ambos casos probaremos si se cumple o no el teorema de Pitágoras y para ello deberemos tener en cuenta que la hipotenusa, que en caso de existir, siempre es el lado mayor.
1 Realizamos el cálculo para el triángulo
.

Se cumple el teorema de Pitágoras, por el que el triángulo
si es rectángulo.
2 Realizamos el cálculo para el triángulo
.

No se cumple el teorema de Pitágoras, por el que el triángulo
no es rectángulo.
Una escalera de
m de altura se apoya con el pie a
m de la pared para arreglar un problema que hay en la azotea de una casa. ¿A qué altura se encuentra la azotea?
Este campo es obligatorio.
Aplicamos el teorema de Pitágoras para la altura 

Entonces, la azotea se encuentra
m.

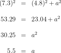
Las medidas de los catetos de un triángulo rectángulo son
y
cm respectivamente. ¿Cuál es la medida de la hipotenusa? Redondea a dos cifras decimales.
h = cm.
Este campo es obligatorio.
Aplicamos el teorema de Pitágoras para obtener la hipotenusa 

La medida de la hipotenusa es
cm.
Calcula las proyecciones
y
, de los catetos sobre la hipotenusa, usando el teorema del cateto y el de la altura respectivamente.Redondea a dos cifras decimales caso de ser necesario.
n = cm.
m = cm.
Este campo es obligatorio.

Aplicamos el teorema del cateto para obtener las medidas de las proyecciones de los mismos. 
La proyección del cateto
mide
cm. 
La proyección del cateto
mide
cm.
Para instalar una antena parabólica se utiliza un poste sujeto por dos cables como indica la figura.

Indica la medida del cable que falta m.
¿A qué distancia del poste habrá que colocar dicho cable? m.
Este campo es obligatorio.
1 Como los dos cables forman un triángulo rectángulo calculamos la medida del cable que falta por Pitágoras.

La medida del cable es 6 m.
2 Para calcular la distancia a la que debemos colocar el cable aplicamos el teorema del cateto.

Debemos colocar el cable a
m del poste.
¿Cuál es la altura del poste? m.
Este campo es obligatorio.
Para calcular la altura del poste aplicamos Pitágoras al triángulo rectángulo que aparece en la figura cuya hipotenusa es
m y cuya base mide
m.


La altura del poste es
m.
Si tienes dudas puedes consultar la teoría

Apuntes es una plataforma dirigida al estudio y la práctica de las matemáticas a través de la teoría y ejercicios interactivos que ponemos a vuestra disposición. Esta información está disponible para todo aquel/aquella que quiera profundizar en el aprendizaje de esta ciencia. Será un placer ayudaros en caso de que tengáis dudas frente algún problema, sin embargo, no realizamos un ejercicio que nos presentéis de 0 sin que hayáis si quiera intentado resolverlo. Ánimo, todo esfuerzo tiene su recompensa.
8 Un rectángulo tiene un ancho de 3 unidades. El largo del rectángulo es 5 veces su ancho. ¿Cuál es el área del rectángulo?
45u²
unidades
El largo es
Ahora bien, su área es
hola
No,entiendo si estoy poniendo bien el resultado por que me dice que esta mal ? si,estoy poniendo el resultado que aparece en la solución ya lo corregi 5 veces esta mal copiado ? por favor me dicen cual es el problema
Hola tienes razón, tu resultado es correcto, pero en este momento estamos remodelando la pagina y corriendo errores así que pronto vamos a corregir este que mencionas.
Todo bien con los otros ejercicios pero no me fue posible realizar el 1 y 2
Hola estamos a tu disposición para cualquier duda, solo menciona de manera especifica donde te atoras y con gusto te ayudamos.
Hola, soy Clarisa Israel, Ingeniera en Construcciones. Entiendo que el Romboide es un cuadrilátero con caracteristicas especiales y su nombre indica que tiene un parecido con el Rombo. Ese parecido tiene que ver con que sus diagonales son perpendiculares, y se cortan en el punto medio de una de ellas pero no de la otra. De esa manera al unir los puntos, 2 de sus lados consecutivos resultan de igual longitud y los 2 restantes también tienen igual longitud pero distinta a la de los primeros. NO es un paralelogramo pues sus lados opuestos no son paralelos. Tiene la típica forma de un Barrilete.
El material del sitio me parece muy interesante!!
Espero consideren este comentario.
Atentamente
Hola muchas gracias por tu aportación, lo tomaremos en cuenta para mejorar en nuestro contenido.
Se cumple que BM = MC y AQ = QM con A – Q – M y B – M − C. Si a(ABQ) = 8 ul^2, determine el área del ∆ABC.
No me deja poner 45u²
Hola puedes hacernos el favor de decirnos el número de ejercicio para poder corregirlo.