Escoge la opción correcta:
1
Una apotema de un polígono regular es...
Selecciona una respuesta.
2
Un polígono circunscrito es aquel...
Selecciona una respuesta.
3
El radio de un polígono inscrito es...
Selecciona una respuesta.
4
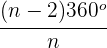
En relación al número de lados
de un polígono regular, todo ángulo central mide...
Selecciona una respuesta.
5
Un radio de un polígono regular...
Selecciona una respuesta.
6
La apotema y el radio sobre un mismo lado de un polígono regular, forman un triángulo...
Selecciona una respuesta.
7
El centro de un polígono regular coincide con...
Selecciona una respuesta.
8
Un polígono regular cuyo ángulo central es de
tiene...
Selecciona una respuesta.
Si tienes dudas puedes consultar la teoría

Apuntes es una plataforma dirigida al estudio y la práctica de las matemáticas a través de la teoría y ejercicios interactivos que ponemos a vuestra disposición. Esta información está disponible para todo aquel/aquella que quiera profundizar en el aprendizaje de esta ciencia. Será un placer ayudaros en caso de que tengáis dudas frente algún problema, sin embargo, no realizamos un ejercicio que nos presentéis de 0 sin que hayáis si quiera intentado resolverlo. Ánimo, todo esfuerzo tiene su recompensa.
La respuesta de la pregunta de la número 8 es 45 unidades cuadradas y coloco 45 y sale en rojo no entiendo
Hola tu respuesta esta bien, disculpa por la respuesta estamos trabajando en ello.
8 un rectangulo tiene ancho 3 unidades.el largo del rectangulo es 5 vaces su ancho.
Cual es el area del rectangulo.
45 u2
Si, así es esa es la respuesta, estamos trabajando en ello.
8 Un rectángulo tiene un ancho de 3 unidades. El largo del rectángulo es 5 veces su ancho. ¿Cuál es el área del rectángulo?
45u²
unidades
El largo es
Ahora bien, su área es
hola
No,entiendo si estoy poniendo bien el resultado por que me dice que esta mal ? si,estoy poniendo el resultado que aparece en la solución ya lo corregi 5 veces esta mal copiado ? por favor me dicen cual es el problema
Hola tienes razón, tu resultado es correcto, pero en este momento estamos remodelando la pagina y corriendo errores así que pronto vamos a corregir este que mencionas.
Hola gracias por el aporte, estamos trabajando en ello, una disculpa.