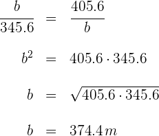
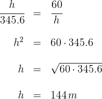
La hipotenusa de un triángulo rectángulo mide
y la proyección de un cateto sobre ella
. Calcular los catetos, la altura relativa a la hipotenusa y el área del triángulo.
1 Representamos gráficamente el problema

2 Observamos que se obtienen dos triángulos equivalentes, como la hipotenusa es
y la proyección de un cateto es
, tenemos que

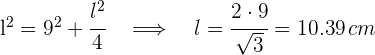
3 Para el cateto
se tiene

4 Para el cateto
se tiene

5 Para la altura
relativa a la hipotenusa se tiene

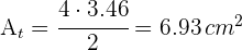
6 El área del triángulo es

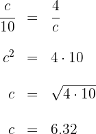
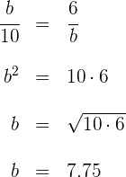
Calcular los lados de un triángulo rectángulo sabiendo que la proyección de uno de los catetos sobre la hipotenusa es
y la altura relativa de la misma
.
1 Representamos gráficamente el problema

2 Observamos que se obtienen dos triángulos equivalentes, por lo que tenemos que

Así, la hipotenusa mide

3 Para el cateto
se tiene

4 Para el cateto
se tiene

5 Así, los lados del triángulo son: 
Una escalera de
de longitud está apoyada sobre la pared. El pie de la escalera dista
de la pared. ¿Qué altura alcanza la escalera sobre la pared?
1 Representamos gráficamente el problema

2 Observamos que la altura de la escalera sobre la pared se obtiene con el teorema de Pitágoras

Así, la atura solicitada es 
Determinar el lado de un triángulo equilátero cuyo perímetro es igual al de un cuadrado de
de lado. ¿Serán iguales sus áreas?
1Representamos gráficamente el cuadrado

2Su perímetro es
. Para calcular el área empleamos

3El triángulo equilátero tiene sus tres lados iguales, por lo que si su perímetro es de
, entonces cada uno de sus lados mide 

4Para encontrar el área requerimos conocer su altura, para esto dividimos el triángulo equilátero en dos triángulos rectángulos y aplicamos el teorema de Pitágoras

5Para calcular su área, empleamos

Así, ambas figuras tienen el mismo perímetro, pero distinta área.
Calcular el área de un triángulo equilátero inscrito en una circunferencia de radio
.
1Representamos gráficamente el problema

2El centro de la circunferencia es el baricentro, por tanto
y se obtiene

3Para encontrar el área del triángulo requerimos conocer su base, para esto dividimos el triángulo equilátero en dos triángulos rectángulos y aplicamos el teorema de Pitágoras

4Para calcular su área, empleamos

Determinar el área del cuadrado inscrito en una circunferencia de longitud
.
1Representamos gráficamente el problema

2Necesitamos conocer un lado del cuadrado, para esto primero calculamos el radio a partir de conocer la circunferencia

3Para encontrar el lado del cuadrado, consideramos el triángulo rectángulo isósceles cuyos lados iguales son los radios de la circunferencia

4Así, el área del cuadrado es

En un cuadrado de
de lado se inscribe un círculo y en este círculo un cuadrado y en este otro círculo. Hallar el área comprendida entre el último cuadrado y el último círculo.
1Representamos gráficamente el problema

2Necesitamos conocer los radios de los círculos; para esto observamos que el lado del cuadrado de lado
es igual al diámetro del círculo inscrito

3El díámetro del primer círculo es igual a la diagonal del segundo cuadrado, aplicando e teorema de Pitágoras obtenemos el lado del segundo cuadrado

4Así, el área del segundo cuadrado es

5El diámetro del segundo círculo es igual al lado del segundo cuadrado

6El área el segundo círculo es

7Así, el área solicitada es

El perímetro de un trapecio isósceles es de
, las bases miden
y
respectivamente. Calcular los lados no paralelos y el área.
1Representamos gráficamente el problema

2 Como las bases suman
, entonces los lados suman
, luego cada lado mide
. Para conocer la altura construimos un triángulo rectángulo como en la figura. empleando el teorema de Pitágorasse tiene

3Calculamos el área del trapecio

A un hexágono regular de lado
se le inscribe una circunferencia y se le circunscribe otra. Hallar el área de la corona circular así formada.
1Representamos gráficamente

2 Calculamos el radio de la circunferencia circunscrita, para esto observamos que el hexágono se divide en seis triángulos equiláteros iguales, por lo que

3Calculamos el radio de la circunferencia inscrita, este coincide con la altura del triángulo equilátero

4Calculamos el área de la corona circular, la cual se obtiene a partir de la diferencia de áreas de los círculos

En una circunferencia una cuerda de
y dista
del centro. Calcular el área del círculo.
1Representamos gráficamente

2 Consideramos el triángulo rectángulo como se muestra en la figura y empleando el teorema de Pitágoras, calculamos el radio

3Calculamos el área del círculo

Los catetos de un triángulo rectángulo inscrito en una circunferencia miden
y
respectivamente. Calcular la longitud de la circunferencia y el área del círculo.
1Representamos gráficamente

2 La hipotenusa concide con el diámetro del círculo. Empleando el teorema de Pitágoras, calculamos el radio

3Calculamos la longitud de la circunferencia

4Calculamos el área del círculo

Sobre un círculo de
de radio se traza un ángulo central de
. Hallar el área del segmento circular comprendido entre la cuerda que une los extremos de los dos radios y su arco correspondiente.
1Representamos gráficamente el problema

2El área del sector es

3Para encontrar la altura del triángulo, aplicamos el teorema de Pitágoras

4Calculamos el área del triángulo equilátero

5El área del segmento circular es


Apuntes es una plataforma dirigida al estudio y la práctica de las matemáticas a través de la teoría y ejercicios interactivos que ponemos a vuestra disposición. Esta información está disponible para todo aquel/aquella que quiera profundizar en el aprendizaje de esta ciencia. Será un placer ayudaros en caso de que tengáis dudas frente algún problema, sin embargo, no realizamos un ejercicio que nos presentéis de 0 sin que hayáis si quiera intentado resolverlo. Ánimo, todo esfuerzo tiene su recompensa.
8 Un rectángulo tiene un ancho de 3 unidades. El largo del rectángulo es 5 veces su ancho. ¿Cuál es el área del rectángulo?
45u²
unidades
El largo es
Ahora bien, su área es
hola
No,entiendo si estoy poniendo bien el resultado por que me dice que esta mal ? si,estoy poniendo el resultado que aparece en la solución ya lo corregi 5 veces esta mal copiado ? por favor me dicen cual es el problema
Hola tienes razón, tu resultado es correcto, pero en este momento estamos remodelando la pagina y corriendo errores así que pronto vamos a corregir este que mencionas.
Todo bien con los otros ejercicios pero no me fue posible realizar el 1 y 2
Hola estamos a tu disposición para cualquier duda, solo menciona de manera especifica donde te atoras y con gusto te ayudamos.
Hola, soy Clarisa Israel, Ingeniera en Construcciones. Entiendo que el Romboide es un cuadrilátero con caracteristicas especiales y su nombre indica que tiene un parecido con el Rombo. Ese parecido tiene que ver con que sus diagonales son perpendiculares, y se cortan en el punto medio de una de ellas pero no de la otra. De esa manera al unir los puntos, 2 de sus lados consecutivos resultan de igual longitud y los 2 restantes también tienen igual longitud pero distinta a la de los primeros. NO es un paralelogramo pues sus lados opuestos no son paralelos. Tiene la típica forma de un Barrilete.
El material del sitio me parece muy interesante!!
Espero consideren este comentario.
Atentamente
Hola muchas gracias por tu aportación, lo tomaremos en cuenta para mejorar en nuestro contenido.
Se cumple que BM = MC y AQ = QM con A – Q – M y B – M − C. Si a(ABQ) = 8 ul^2, determine el área del ∆ABC.
No me deja poner 45u²
Hola puedes hacernos el favor de decirnos el número de ejercicio para poder corregirlo.