Temas
- Definición de perímetro y área
- Perímetro y área de triángulos
- Perímetro y área de un cuadrado
- Perímetro y área de un rectángulo
- Perímetro y área de un rombo
- Perímetro y área de un romboide
- Perímetro y área de un trapecio
- Perímetro y área de un polígono regular
- Perímetro y área de un polígono irregular
Te invitamos a explorar el fascinante mundo de los polígonos, donde el Área y el Perímetro son protagonistas clave en la geometría. En esta sección, te guiaremos a través de la resolución de problemas relacionados con estas dos medidas fundamentales que caracterizan a los polígonos.
Desde triángulos y cuadriláteros hasta polígonos más complejos, cada ejercicio resuelto incluirá una descripción paso a paso sobre cómo calcular el área, que representa la extensión de la superficie, y el perímetro, que mide la longitud del contorno. Estos problemas prácticos te ayudarán a comprender la importancia de estas medidas y a desarrollar habilidades sólidas en el cálculo de áreas y perímetros.
Definición de perímetro y área
El perímetro de un polígono es igual a la suma de las longitudes de sus lados.
El área de un polígono es la medida de la región o superficie encerrada por el polígono.
Perímetro y área de triángulos
El perímetro de un triángulo se obtiene sumando las longitudes de sus tres lados. De acuerdo al tipo de triángulo, se tienen las siguientes fórmulas para el perímetro
| Triángulo Equilátero | Triángulo Isósceles | Triángulo Escaleno |
![]() | ![]() | ![]() |
![]() | ![]() | ![]() |
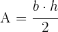
El área de un triángulo es igual a la mitad del producto de su base y su altura

Para el triángulo de base
y altura
, la fórmula del área es

Ejemplo: Hallar el área y el perímetro del siguiente triángulo

Se trata de un triángulo isósceles por lo que el perímetro es

Observamos que la base es
y la altura es 

Perímetro y área de un cuadrado

El perímetro de un cuadrado se obtiene sumando las longitudes de sus cuatro lados; al ser estos iguales, la fórmula del perímetro de un cuadrado de lado
es

Para encontrar el área de un cuadrado, elevamos su lado al cuadrado

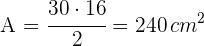
Ejemplo: Calcular el área y el perímetro del cuadrado de lado 

El lado
. Calculamos el perímetro

Calculamos el área

Perímetro y área de un rectángulo

El perímetro de un rectángulo se obtiene sumando las longitudes de sus cuatro lados; la fórmula del perímetro de un rectángulo de base
y altura
es

Para encontrar el área de un rectángulo, multiplicamos su base por su altura

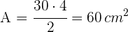
Ejemplo: Calcular el área y el perímetro del rectángulo de
de base y
de altura

Calculamos el perímetro

Calculamos el área

Perímetro y área de un rombo

El perímetro de un rombo se obtiene sumando las longitudes de sus cuatro lados; al ser estos iguales, la fórmula del perímetro de un rombo de lado
es

Para encontrar el área de un rombo con diagonal mayor
y diagonal menor
, aplicamos la fórmula que consiste en calcular la mitad del producto de sus diagonales

Ejemplo: Calcular el área y el perímetro del rombo cuyas diagonales miden
y
y su lado mide 

Calculamos el perímetro

Calculamos el área

Perímetro y área de un romboide

El perímetro de un romboide se obtiene sumando las longitudes de sus cuatro lados; como los lados opuestos son iguales, la fórmula del perímetro de un romboide de lados
y
es

Para encontrar el área de un romboide con base
y altura
, aplicamos la fórmula que consiste en el producto de su base y su altura

Ejemplo: Calcular el área y el perímetro del romboide cuyas lados miden
y
y su altura mide 

Calculamos el perímetro

Calculamos el área

Perímetro y área de un trapecio

El perímetro de un trapecio se obtiene sumando las longitudes de sus cuatro lados, esto es

Para encontrar el área de un trapecio con base mayor
, base menor
y altura
, aplicamos la fórmula que consiste en la mitad del producto de su altura y la suma de sus bases

Ejemplo: Calcular el área y el perímetro del trapecio cuyas bases mayor y menor miden
y
respectivamente, sus lados inclinados
y su altura mide 

Calculamos el perímetro

Calculamos el área

Perímetro y área de un polígono regular

El perímetro de un polígono regular de
lados de longitud
es

Para encontrar el área de un polígono regular de lado
y apotema
, aplicamos la fórmula que consiste en la mitad del producto de su perímetro y su apotema

Ejemplo: Calcular el área y el perímetro de un pentágono regular de lado
y cuya distancia del centro a uno de sus vértices es 

Calculamos el perímetro

Calculamos el área, para esto aplicamos el teorema de Pitágoras y obtenemos el valor de la apotema

Sustituimos el perímetro y la apotema en la fórmula del área

Ejemplo: Calcular la apotema y el perímetro de un hexágono regular inscrito en una circunferencia de radio 

Como se trata de un hexágono, podemos dividirlo en seis triángulos equiláteros iguales, de donde obtenemos que cada lado mide
. Calculamos el perímetro

Calculamos la apotema, para esto aplicamos el teorema de Pitágoras y obtenemos

Perímetro y área de un polígono irregular

El perímetro de un polígono irregular se obtiene sumando todos sus lados
Para encontrar el área de un polígono irregular triangulamos el polígono y sumamos el área de cada triángulo

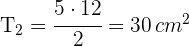
Ejemplo: Calcular el área y el perímetro del siguiente polígono

Calculamos el perímetro

Calculamos el área, para esto calculamos el área
del romboide
y el área
del triángulo 


Así, el área del polígono irregular es
















Apuntes es una plataforma dirigida al estudio y la práctica de las matemáticas a través de la teoría y ejercicios interactivos que ponemos a vuestra disposición. Esta información está disponible para todo aquel/aquella que quiera profundizar en el aprendizaje de esta ciencia. Será un placer ayudaros en caso de que tengáis dudas frente algún problema, sin embargo, no realizamos un ejercicio que nos presentéis de 0 sin que hayáis si quiera intentado resolverlo. Ánimo, todo esfuerzo tiene su recompensa.
en el problema 4 su altura es 5 no 4 ustedes han puesto 4 envés de 5 corrijan
No, su altura es 4, lo que vale 5 es uno de sus lados que solo se utiliza para el perímetro y para el área no se usa.
Me encanta esta web, siempre la utilizo porque me encanta estos ejercicios. Si se pudiera valorar la web le daría 10 estrella de 5. Enhorabuena por esta página web.
Saludos 🙂
Gracias por tu comentario, Cristian, significa mucho para nosotros ❤️
De donde sale el 6.32 en el ejercicio 3