Elige la opción correcta:
Dos triángulos rectángulos son semejantes...
Selecciona una respuesta.
Esta es una pregunta conceptual y solo basta con recordar el criterio adecuado.
En este caso solo debemos recordar que dos triángulos rectángulos son semejantes si:
Dos de sus lados cualesquiera son proporcionales.
Si dos triángulos rectángulos tienen los ángulos rectos iguales...
Selecciona una respuesta.
Esta es una pregunta conceptual y solo basta con recordar el criterio adecuado.
En este caso no podemos concluir nada. Pues necesitamos mas información respecto a los lados o ángulos restantes.
Dados dos triángulos rectángulos son proporcionales si tienen...
Selecciona una respuesta.
Esta es una pregunta conceptual y solo basta con recordar el criterio adecuado.
En este caso solo debemos recordar que dos triángulos rectángulos son semejantes si:
Tienen un ángulo agudo igual.
La hipotenusa de un triángulo rectángulo mide
cm y sus catetos
cm y
cm respectivamente. Otro triángulo rectángulo cuya hipotenusa mide
cm y uno de sus catetos
cm...
Selecciona una respuesta.
Esta es una pregunta conceptual y solo basta con recordar el criterio adecuado. Notemos que en este caso los dos triángulos tienen hipotenusas proporcionales y uno de sus lados también proporcionales. Por lo tanto podemos decir que tienen dos lados proporcionales y concluir que los triángulos son semejantes.
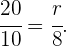
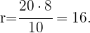
En relación a la pregunta anterior. El segundo cateto del triángulo anterior mide...
Selecciona una respuesta.
Los triángulos son semejantes. Basta calcular la proporción entre estos. La proporción de los lados que conocemos es
Para saber el valor del otro cateto solo multiplicamos el cateto del primer triángulo que mide
cm por la proporción, esto nos da
Ya que
no aparece en las respuestas entonces debemos pasar a decímetros, lo que nos da
Así que la respuesta es
dm


Selecciona una respuesta.
Conociendo únicamente la medida de uno de los catetos no podemos saber si son semejantes o no
La sombra de un poste y una persona a la misma hora del día forman dos triángulos rectángulos con su sombra respecto al suelo. Estos, además de ser triángulos rectángulos son semejantes porque...
Selecciona una respuesta.
Esta es una pregunta conceptual y solo basta con recordar el criterio adecuado. Notemos que el ángulo superior o ángulo agudo de los triángulos son iguales. Dado que los triángulos en cuestión son rectángulos podemos decir que los triángulos son semejantes. La igualdad en los ángulos agudos se da porque la luz incide tanto en el poste como en la persona con la misma pendiente.
Los triángulos de la figura... 
Selecciona una respuesta.
De observar la figura podemos concluir que lo siguiente.
Los ángulos
y
son iguales porque son ángulos opuestos por el vértice. Así que estamos ante dos triángulos rectángulos que tienen ángulos agudos iguales, luego podemos concluir que son semejantes.
Resuelve los siguientes problemas:
Calcula la medida de la sombra que produce una persona situada junto a una farola como la que aparece en el dibujo.

La sombra tiene una longitud de m
Este campo es obligatorio.
Observando el dibujo vemos que tenemos dos triángulos rectángulos semejantes, es decir sus catetos son proporcionales.




Observando el cono de la figura calcular su radio.

= cm
Este campo es obligatorio.

Observando la figura vemos que podemos trazar dos triángulos rectángulos semejantes dentro del cono, por tanto sus catetos son proporcionales 
Despejando
tenemos

Si tienes dudas puedes consultar la teoría
Resumir con IA:

Apuntes es una plataforma dirigida al estudio y la práctica de las matemáticas a través de la teoría y ejercicios interactivos que ponemos a vuestra disposición. Esta información está disponible para todo aquel/aquella que quiera profundizar en el aprendizaje de esta ciencia. Será un placer ayudaros en caso de que tengáis dudas frente algún problema, sin embargo, no realizamos un ejercicio que nos presentéis de 0 sin que hayáis si quiera intentado resolverlo. Ánimo, todo esfuerzo tiene su recompensa.
pueden dejar los puntos mas claros
Hola con todo gusto te apoyamos si tienes alguna duda, solo menciona el número de ejercicio y te lo explicamos mas detalladamente.
La respuesta de la pregunta de la número 8 es 45 unidades cuadradas y coloco 45 y sale en rojo no entiendo
Hola tu respuesta esta bien, disculpa por la respuesta estamos trabajando en ello.
8 un rectangulo tiene ancho 3 unidades.el largo del rectangulo es 5 vaces su ancho.
Cual es el area del rectangulo.
45 u2
Si, así es esa es la respuesta, estamos trabajando en ello.
Hola gracias por el aporte, estamos trabajando en ello, una disculpa.