Resuelve los siguientes problemas:
Calcula el lado oblícuo de un trapecio rectángulo de base mayor
cm y base menor
cm sabiendo que la altura mide lo mismo que la base menor. 
cm
Este campo es obligatorio.
Sabemos que restando la base mayor menos la base menor obtenemos el valor de
como podemos ver en la figura

Para calcular el lado oblícuo aplicamos el teorema de Pitágoras

El lado oblícuo mide 
Dado un triángulo equilátero de
cm de lado, indica su altura redondeando a dos cifras decimales.
cm.
Este campo es obligatorio.
Aplicamos el teorema de Pitágoras:





La altura redondeado a dos cifras es
.
Calcula la altura de un trapecio isósceles de base menor
, lado
sabiendo que la base mayor mide el doble que la menor.

cm
Este campo es obligatorio.
Como indica el enunciado la diagonal mayor medirá
. Por lo tanto las bases de los triángulos rectángulos laterales medirán

Ahora aplicando el teorema de Pitagoras obtenemos la altura




La altura mide 
Consideremos un triángulo equilátero de lado
. Calcular su altura redondeando a dos cifras.
cm
Este campo es obligatorio.
Para resolver este problema debemos aplicar el Teorema de Pitágoras. La hipotenusa del triángulo rectángulo que resulta de dividir el triángulo inicial en dos, mide
y su base mide
. Si
es la altura que buscamos, entonces




Así la altura que buscamos mide 
Consideremos un triángulo equilátero de lado
cm y altura
. Calcular el lado
redondeando a dos cifras.
cm
Este campo es obligatorio.
Para resolver este problema debemos aplicar el Teorema de Pitágoras. La hipotenusa del triángulo rectángulo que resulta de dividir el triángulo inicial en dos, mide
cm y su base mide
cm. Entonces





Así que el lado del triángulo que buscamos mide 
Determinar la altura redondeando a dos cifras del siguiente trapecio isósceles de lado mayor
cm, lado menor
cm y lados laterales
cm.
cm
Este campo es obligatorio.
Formamos un triángulo rectángulo de hipotenusa
cm y catetos
cm y
, donde
es la altura del trapecio. Ahora aplicando el Teorema de Pitagoras





Así que la altura del trapecio que buscamos mide 
Determinar una formula para la altura del siguiente trapecio isósceles de lado mayor
cm, lado menor
cm y lados laterales
cm. Si
cm hallar el valor de la altura redondeando a dos cifras.
cm
Este campo es obligatorio.
Formamos un triángulo rectángulo de hipotenusa
cm y catetos
cm y
, donde
es la altura del trapecio. Ahora aplicando el Teorema de Pitagoras





Así que la altura del trapecio que buscamos mide 
Finalmente cuando
la respuesta es
.
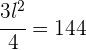
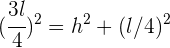
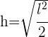
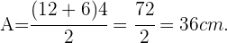
Determinar el área del siguiente trapecio isósceles de lado mayor
cm, lado menor
cm y lados laterales
cm.
cm
Este campo es obligatorio.
El área del trapecio la calculamos usando la formula
donde
es la base mayor,
es la base menor y
es la altura.
Formamos un triángulo rectángulo de hipotenusa
cm y catetos
cm y
, donde
es la altura del trapecio.
Ahora aplicando el Teorema de Pitagoras

Así que la altura del trapecio que buscamos mide
cm
Finalmente reemplazando en la formula del área tenemos que 
Si tienes dudas puedes consultar la teoría

Apuntes es una plataforma dirigida al estudio y la práctica de las matemáticas a través de la teoría y ejercicios interactivos que ponemos a vuestra disposición. Esta información está disponible para todo aquel/aquella que quiera profundizar en el aprendizaje de esta ciencia. Será un placer ayudaros en caso de que tengáis dudas frente algún problema, sin embargo, no realizamos un ejercicio que nos presentéis de 0 sin que hayáis si quiera intentado resolverlo. Ánimo, todo esfuerzo tiene su recompensa.
La respuesta de la pregunta de la número 8 es 45 unidades cuadradas y coloco 45 y sale en rojo no entiendo
Hola tu respuesta esta bien, disculpa por la respuesta estamos trabajando en ello.
8 un rectangulo tiene ancho 3 unidades.el largo del rectangulo es 5 vaces su ancho.
Cual es el area del rectangulo.
45 u2
Si, así es esa es la respuesta, estamos trabajando en ello.
8 Un rectángulo tiene un ancho de 3 unidades. El largo del rectángulo es 5 veces su ancho. ¿Cuál es el área del rectángulo?
45u²
unidades
El largo es
Ahora bien, su área es
hola
No,entiendo si estoy poniendo bien el resultado por que me dice que esta mal ? si,estoy poniendo el resultado que aparece en la solución ya lo corregi 5 veces esta mal copiado ? por favor me dicen cual es el problema
Hola tienes razón, tu resultado es correcto, pero en este momento estamos remodelando la pagina y corriendo errores así que pronto vamos a corregir este que mencionas.
Hola gracias por el aporte, estamos trabajando en ello, una disculpa.