Perímetro y área del rombo
Un rombo es un paralelogramo con cuatro lados iguales y cuyos ángulos no son rectos.

El perímetro de un rombo es igual a la suma de sus lados; al ser estos iguales, se tiene

El área de un rombo es igual a la mitad del producto de sus diagonales:

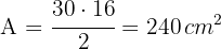
Ejemplo: Encontrar el perímetro y área del rombo de lado
y diagonales
y 

Encontramos el perímetro

Encontramos el área

Perímetro y área del romboide
Un romboide es un paralelogramo con sus lados opuestos iguales y cuyos ángulos no son rectos.

El perímetro de un romboide es igual a la suma de sus lados, esto es

El área de un romboide es igual al producto de su base por su altura:

Ejemplo: Encontrar el perímetro y área del romboide de lados
y
y altura 

Encontramos el perímetro

Encontramos el área

Ejercicios de rombos y romboides
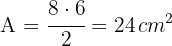
Encuentra el área de un rombo cuya diagonal mayor es
y su diagonal menor es 
1 Representamos graficamente el rombo

2 Aplicamos la fórmula del área del rombo

Así, el área del rombo es 
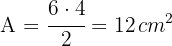
Encuentra el área de un romboide cuya base es
y su altura es 
1 Representamos graficamente el romboide

2 Aplicamos la fórmula del área del romboide

Así, el área del romboide es 
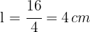
Encuentra el área de un rombo cuya diagonal menor es
y su lado es 
1 Representamos graficamente el rombo con los datos proporcionados

2 Necesitamos encontrar la diagonal mayor. Como las diagonales de un rombo son perpendiculares y se cortan en sus puntos medios, entonces se forman cuatro triángulos rectángulos iguales cuyos catetos son iguales a la mitad de las diagonales. Aplicamos el teorema de Pitágoras

Así, la diagonal mayor es 
3 Calculamos el área del rombo

Encuentra el área de un romboide con vértices
con lados
y
. Si
se encuentra sobre
de modo que
es perpendicular a
y
. Encuentra su área.
span class="sa">1 Representamos graficamente el romboide con los datos proporcionados

2 Necesitamos encontrar la altura. Notamos que el triángulo
es rectángulo. Aplicamos el teorema de Pitágoras

3 Calculamos el área del romboide

Encuentra el perímetro de un rombo cuya área es
y su diagonal mayor es 
1 Representamos graficamente el rombo con los datos proporcionados

2 A partir del área del rombo, calculamos la diagonal menor

3 Necesitamos encontrar un lado. Como las diagonales de un rombo son perpendiculares y se cortan en sus puntos medios, entonces se forman cuatro triángulos rectángulos iguales cuyos catetos son iguales a la mitad de las diagonales. Aplicamos el teorema de Pitágoras

Así, el lado es 
4 Calculamos el perímetro

Encuentra el perímetro de un romboide cuya área es
, altura
y el lado que no es base es
.
1 Representamos graficamente el romboide con los datos proporcionados

2 Necesitamos encontrar la base
. A partir de conocer el área del romboide y su altura, podemos encontrar su base

3 Calculamos el perímetro del romboide

El perímetro de un rombo es
y uno de sus ángulos interiores es
. Encuentra el área del rombo
1 Representamos graficamente el rombo con los datos proporcionados

2 A partir del perímetro del rombo calculamos el lado del rombo

3 Como las diagonales de un rombo son perpendiculares, bisectan los ángulos y se cortan en sus puntos medios, entonces se forman cuatro triángulos rectángulos iguales cuyos catetos son iguales a la mitad de las diagonales y su hipotenusa es igual al lado. Aplicamos las funciones trigonométricas seno y coseno se obtiene


4 Calculamos el área

El perímetro de un romboide es
, uno de sus lados es un tercio de su base y uno de sus ángulos interiores es
. Encuentra el área del romboide
1 Representamos graficamente el romboide con los datos proporcionados

2 A partir del perímetro calculamos los lados del romboide

luego la base es
y el otro lado es 
3 La altura es perpendicular a la base y forma un triángulo rectangulo como en la figura, siendo la altura el cateto opuesto al ángulo de
y la hipotenusa el lado de medida
. Aplicamos la función trigonométrica seno y se obtiene

4 Calculamos el área

Se pegan dos triángulos equiláteros de lado
para formar un rombo. Encuentra el área del rombo
1 Representamos graficamente el rombo con los datos proporcionados

2 Para calcular el área del rombo, basta con calcular el área de cada triángulo equilátero. Aplicando la fórmula para el área de un triángulo equilátero se obtiene

3 El área del rombo es

Un romboide de lados
y
tiene una diagonal de
de manera que se tienen dos triángulos isósceles. Encuentra el área del romboide
1 Representamos graficamente el romboide con los datos proporcionados

2 Para calcular el área del romboide, basta con calcular la altura, la cual coincide con la altura del triángulo isósceles. Aplicando el teorema de Pitágoras se obtiene

3 El área del romboide es










Apuntes es una plataforma dirigida al estudio y la práctica de las matemáticas a través de la teoría y ejercicios interactivos que ponemos a vuestra disposición. Esta información está disponible para todo aquel/aquella que quiera profundizar en el aprendizaje de esta ciencia. Será un placer ayudaros en caso de que tengáis dudas frente algún problema, sin embargo, no realizamos un ejercicio que nos presentéis de 0 sin que hayáis si quiera intentado resolverlo. Ánimo, todo esfuerzo tiene su recompensa.
8 un rectangulo tiene ancho 3 unidades.el largo del rectangulo es 5 vaces su ancho.
Cual es el area del rectangulo.
45 u2
8 Un rectángulo tiene un ancho de 3 unidades. El largo del rectángulo es 5 veces su ancho. ¿Cuál es el área del rectángulo?
45u²
unidades
El largo es
Ahora bien, su área es
hola
No,entiendo si estoy poniendo bien el resultado por que me dice que esta mal ? si,estoy poniendo el resultado que aparece en la solución ya lo corregi 5 veces esta mal copiado ? por favor me dicen cual es el problema
Hola tienes razón, tu resultado es correcto, pero en este momento estamos remodelando la pagina y corriendo errores así que pronto vamos a corregir este que mencionas.
Todo bien con los otros ejercicios pero no me fue posible realizar el 1 y 2
Hola estamos a tu disposición para cualquier duda, solo menciona de manera especifica donde te atoras y con gusto te ayudamos.
Hola, soy Clarisa Israel, Ingeniera en Construcciones. Entiendo que el Romboide es un cuadrilátero con caracteristicas especiales y su nombre indica que tiene un parecido con el Rombo. Ese parecido tiene que ver con que sus diagonales son perpendiculares, y se cortan en el punto medio de una de ellas pero no de la otra. De esa manera al unir los puntos, 2 de sus lados consecutivos resultan de igual longitud y los 2 restantes también tienen igual longitud pero distinta a la de los primeros. NO es un paralelogramo pues sus lados opuestos no son paralelos. Tiene la típica forma de un Barrilete.
El material del sitio me parece muy interesante!!
Espero consideren este comentario.
Atentamente
Hola muchas gracias por tu aportación, lo tomaremos en cuenta para mejorar en nuestro contenido.
Se cumple que BM = MC y AQ = QM con A – Q – M y B – M − C. Si a(ABQ) = 8 ul^2, determine el área del ∆ABC.