Resuelve los siguientes problemas:
1Calcular el lado de un cuadrado como el de la siguiente figura


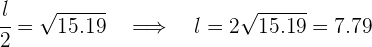
1El diámetro de la circunferencia forma un triángulo rectángulo con los lados del cuadrado, como el radio mide
el diámetro medirá
.
2Aplicamos entonces el teorema de Pitágoras:

3Aplicando la raíz cuadrada tenemos que el lado del cuadrado mide 
2Calcular el lado de un cuadrado inscrito en una circunferencia de longitud 


1El diámetro de la circunferencia forma un triángulo rectángulo con los lados del cuadrado
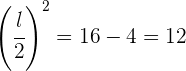
2Calculamos el diámetro de la circunferencia

3Aplicamos el teorema de Pitágoras

3Aplicando la raíz cuadrada tenemos que el lado del cuadrado mide

3Calcula el lado de un triángulo equilátero inscrito en una circunferencia de
de radio.

1Calculamos la mitad del lado aplicando Pitágoras al triángulo que se observa en la figura.

2Despejamos en términos de 

3Calculamos la raíz cuadrada y despejamos 

4Así el lado mide 
4Hallar el lado de un triángulo equilátero inscrito en una circunferencia inscrita a un cuadrado de lado 


1El diámetro de la circunferencia coincide con el lado del cuadrado, luego el radio es 
2Calculamos la mitad del lado aplicando Pitágoras al triángulo que se observa en la figura

3Despejamos en términos de 

4Calculamos la raíz cuadrada y despejamos 

5Así el lado mide 
5En un círculo de
de radio se inscribe un cuadrado y en este otro círculo. Hallar el área comprendida entre el cuadrado y el último círculo.

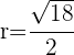
1Sabemos que el diámetro de la primera circunferencia es igual a la diagonal del cuadrado, aplicamos Pitágoras al triángulo cuya hipotenusa es dicha diagonal y los catetos son los lados del cuadrado

2Despejamos en términos de 

3Calculamos la raíz cuadrada y despejamos 

4Como el lado del cuadrado es igual al diámetro del círculo interior, su radio mide 
5Calculamos las áreas del cuadrado y del círculo interior


6El área sombreada es

6Hallar el área comprendida entre el círculo y el cuadrado inscrito de lado 


1Sabemos que el diámetro de la primera circunferencia es igual a la diagonal del cuadrado
2Calculamos la diagonal del cuadrado aplicando el teorema de Pitágoras

3Entonces el radio es 
4El área del círculo es

5Calculamos el área del cuadrado

6El área sombreada es

7Hallar el área comprendida entre el círculo de radio
y el triángulo equilátero inscrito


1El lado de un triángulo equilátero inscrito en una circunferencia de radio
es
, luego

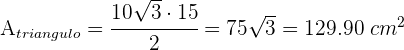
2La altura de un triángulo equilátero es

3El área del triángulo es

4El área del círculo es

5El área solicitada es

Si tienes dudas puedes consultar la teoría

Apuntes es una plataforma dirigida al estudio y la práctica de las matemáticas a través de la teoría y ejercicios interactivos que ponemos a vuestra disposición. Esta información está disponible para todo aquel/aquella que quiera profundizar en el aprendizaje de esta ciencia. Será un placer ayudaros en caso de que tengáis dudas frente algún problema, sin embargo, no realizamos un ejercicio que nos presentéis de 0 sin que hayáis si quiera intentado resolverlo. Ánimo, todo esfuerzo tiene su recompensa.
8 un rectangulo tiene ancho 3 unidades.el largo del rectangulo es 5 vaces su ancho.
Cual es el area del rectangulo.
45 u2
8 Un rectángulo tiene un ancho de 3 unidades. El largo del rectángulo es 5 veces su ancho. ¿Cuál es el área del rectángulo?
45u²
unidades
El largo es
Ahora bien, su área es
hola
No,entiendo si estoy poniendo bien el resultado por que me dice que esta mal ? si,estoy poniendo el resultado que aparece en la solución ya lo corregi 5 veces esta mal copiado ? por favor me dicen cual es el problema
Hola tienes razón, tu resultado es correcto, pero en este momento estamos remodelando la pagina y corriendo errores así que pronto vamos a corregir este que mencionas.
Todo bien con los otros ejercicios pero no me fue posible realizar el 1 y 2
Hola estamos a tu disposición para cualquier duda, solo menciona de manera especifica donde te atoras y con gusto te ayudamos.
Hola, soy Clarisa Israel, Ingeniera en Construcciones. Entiendo que el Romboide es un cuadrilátero con caracteristicas especiales y su nombre indica que tiene un parecido con el Rombo. Ese parecido tiene que ver con que sus diagonales son perpendiculares, y se cortan en el punto medio de una de ellas pero no de la otra. De esa manera al unir los puntos, 2 de sus lados consecutivos resultan de igual longitud y los 2 restantes también tienen igual longitud pero distinta a la de los primeros. NO es un paralelogramo pues sus lados opuestos no son paralelos. Tiene la típica forma de un Barrilete.
El material del sitio me parece muy interesante!!
Espero consideren este comentario.
Atentamente
Hola muchas gracias por tu aportación, lo tomaremos en cuenta para mejorar en nuestro contenido.
Se cumple que BM = MC y AQ = QM con A – Q – M y B – M − C. Si a(ABQ) = 8 ul^2, determine el área del ∆ABC.