Capítulos
Triangulo rectángulo y sus elementos
Un triángulo rectángulo es cualquier triángulo con un ángulo recto y dos agudos. Los lados de un triángulo rectángulo se llaman catetos e hipotenusa.
Hipotenusa
La hipotenusa es el lado opuesto al ángulo recto, y es lado mayor del triángulo
Catetos
Los catetos son los lados opuestos a los ángulos agudos, y son los lados menores del triángulo.

En la figura anterior tenemos que:
: hipotenusa,
: catetos,
: proyección del cateto
sobre la hipotenusa,
: proyección del cateto
sobre la hipotenusa.
Teoremas con triángulos rectángulos
Teorema del cateto
"En todo triángulo rectángulo un cateto es media proporcional entre la hipotenusa y su proyección sobre ella."
o equivalentemente podemos escribirlo como
"En un triángulo rectángulo, el cuadrado de uno de los catetos es igual al producto de su proyección sobre la hipotenusa por la propia hipotenusa."

De los enunciados anteriores se derivan las siguientes ecuaciones:


Teorema de la altura
"En un triángulo rectángulo, la altura relativa a la hipotenusa es media proporcional entre los dos segmentos que dividen a ésta."
O equivalentemente
"En un triángulo rectángulo, el cuadrado de la altura medida sobre la hipotenusa es igual al producto de las proyecciones de los dos catetos sobre la hipotenusa."

De los enunciados anteriores se desprende que

Teorema de Pitágoras
"En todo triángulo rectángulo el cuadrado de la hipotenusa es igual a la suma de los cuadrados de los catetos."

Del enunciado anterior tenemos la siguiente fórmula
Ejercicios con triángulos rectángulos
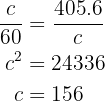
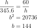
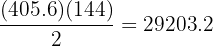
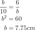
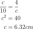
1 La hipotenusa de un triángulo rectángulo mide 405.6 m y la proyección de un cateto sobre ella 60 m. Calcular: Los catetos, la altura relativa a la hipotenusa y el área del triángulo.

Del teorema del cateto tendremos que

y puesto que , entonces

Para la altura relativa a la hipotenusa utilizamos el teorema de la altura

Y finalmente, el área

2 Calcular los lados de un triángulo rectángulo sabiendo que la proyección de uno de los catetos sobre la hipotenusa es cm y la altura relativa de la misma es
cm.
Para esto utilizaremos primeramente el teorema de la altura para hallar n

con esto tenemos que

y para los lados faltantes utilizamos el teorema del cateto


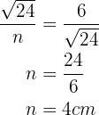
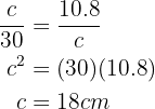
3 La hipotenusa de un triángulo rectángulo mide 30 cm y la proyección de un cateto sobre ella 10.8 cm. Hallar el cateto de la proyección.

Utilizando el teorema del cateto

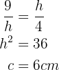
4 En un triángulo rectángulo, las proyecciones de los catetos sobre la hipotenusa miden 4 y 9 centímetros. Calcular la altura relativa a la hipotenusa.

Utilizando el teorema de la altura tendremos que

Apuntes es una plataforma dirigida al estudio y la práctica de las matemáticas a través de la teoría y ejercicios interactivos que ponemos a vuestra disposición. Esta información está disponible para todo aquel/aquella que quiera profundizar en el aprendizaje de esta ciencia. Será un placer ayudaros en caso de que tengáis dudas frente algún problema, sin embargo, no realizamos un ejercicio que nos presentéis de 0 sin que hayáis si quiera intentado resolverlo. Ánimo, todo esfuerzo tiene su recompensa.
Hola, soy Clarisa Israel, Ingeniera en Construcciones. Entiendo que el Romboide es un cuadrilátero con caracteristicas especiales y su nombre indica que tiene un parecido con el Rombo. Ese parecido tiene que ver con que sus diagonales son perpendiculares, y se cortan en el punto medio de una de ellas pero no de la otra. De esa manera al unir los puntos, 2 de sus lados consecutivos resultan de igual longitud y los 2 restantes también tienen igual longitud pero distinta a la de los primeros. NO es un paralelogramo pues sus lados opuestos no son paralelos. Tiene la típica forma de un Barrilete.
El material del sitio me parece muy interesante!!
Espero consideren este comentario.
Atentamente
Hola muchas gracias por tu aportación, lo tomaremos en cuenta para mejorar en nuestro contenido.
Se cumple que BM = MC y AQ = QM con A – Q – M y B – M − C. Si a(ABQ) = 8 ul^2, determine el área del ∆ABC.
No me deja poner 45u²
Hola puedes hacernos el favor de decirnos el número de ejercicio para poder corregirlo.
esta bien estos ejercicios pero ay algun fallo
Hola podrías mencionar el número del ejercicio donde hay algún fallo, tu aportación nos ayudaría mucho, gracias por tu comentario.
El ángulo exterior de un triángulo es igual a la suma de los dos ángulos interiores no adyacentes si el ángulo exterior mide 40 + 31 = 71 grados entonces:
La respuesta es 71 grados.
Un triángulo equilátero tienes todos sus lados iguales si el perímetro es de 15cm
Podemos calcular la longitud de cada lado
Dividiendo el perímetro entre 3
Calcule el perímetro de un triángulo isósceles de lado 13u y 5u