Resuelve los siguientes problemas:
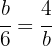
1La hipotenusa de un triángulo rectángulo,
, mide
y la proyección de su cateto
sobre ella es de
.

¿Cuál es la medida del cateto
?
.
Este campo es obligatorio.
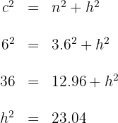
Aplicando el teorema del cateto se tiene:

Despejamos 

El cateto
mide
.
¿Cuánto mide el cateto
? 
Este campo es obligatorio.
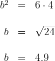
Aplicando el teorema de Pitágoras tenemos

El cateto
mide
.
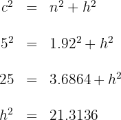
2Las proyecciones de los catetos
y
de un triángulo rectángulo, miden
y
.

Redondeando a un decimal, ¿cuál es la medida del cateto
? 
Este campo es obligatorio.
Aplicando el teorema del cateto se tiene:

Despejamos 

El cateto
mide
.
¿Cuánto mide el cateto
? 
Este campo es obligatorio.
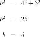
Aplicando nuevamente el teorema del cateto se obtiene

Despejamos 

El cateto
mide
.
3La proyección del cateto
de un triángulo rectángulo mide
y su altura
.

Redondeando a un decimal, ¿cuál es la medida del cateto
? 
Este campo es obligatorio.
Aplicando el teorema de Pitágoras se tiene:

El cateto
mide
.
¿Cuánto mide el cateto
? 
Este campo es obligatorio.
Aplicando el teorema del cateto se obtiene

Despejamos 

El cateto
mide
.
4El cateto
de un triángulo rectángulo mide
y el cateto
,
.

¿Cuál es la medida de la hipotenusa,
, de este triángulo?
.
Este campo es obligatorio.
Aplicando el teorema de Pitágoras se tiene que

La hipotenusa
mide
.
Indica la medida de las proyecciones de los catetos
y
respectivamente, redondeando a dos cifras decimales.
.
.
Este campo es obligatorio.
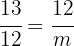
Aplicamos el teorema del cateto para obtener la medida de las proyecciones de los mismos:

Despejamos 

La proyección del cateto
mide
.

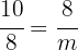
Despejamos 

La proyección del cateto
mide
.
¿Cuánto mide la altura de este triángulo?
.
Este campo es obligatorio.
Para calcular la altura basta aplicar el teorema de pitágoras a cualquiera de los dos triángulos que podemos apreciar en la figura Tomamos, por ejemplo, el triángulo más pequeño: 

La altura
mide
.
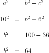
5El cateto
de un triángulo rectángulo mide
y su hipotenusa
,
.

¿Cuál es la medida del cateto
de este triángulo?
.
Este campo es obligatorio.
Aplicando el teorema de Pitágoras se tiene que

El cateto
mide
.
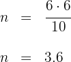
Indica la medida de las proyecciones de los catetos
y
respectivamente, redondeando a dos cifras decimales.
.
.
Este campo es obligatorio.
Aplicamos el teorema del cateto para obtener la medida de las proyecciones de los mismos:

Despejamos

La proyección del cateto
mide
.

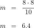
Despejamos

La proyección del cateto
mide
.
¿Cuánto mide la altura de este triángulo?
.
Este campo es obligatorio.
Para calcular la altura basta aplicar el teorema de pitágoras a cualquiera de los dos triángulos que podemos apreciar en la figura Tomamos, por ejemplo, el triángulo más pequeño:


La altura
mide
.
6Las casas de cuatro amigos se encuentran situadas como muestra la siguiente figura. Sabiendo que la distancia de la casa de Belén a la de Carlos es de
y la distancia de la casa de Belén a la casa de David es de
, calcula las distancias que faltan:

De casa de Belén a casa de Ana
.
Este campo es obligatorio.
En primer lugar observemos que se trata de un triángulo rectángulo, por lo que podemos aplicar el teorema del cateto si fuera necesario.
Distancia de casa de Belén a casa de Ana 
La distancia buscada es
.

De casa de David a casa de Carlos
.
Este campo es obligatorio.
Distancia de casa de David a casa de Carlos
.

De casa de Ana a casa de David
.
Este campo es obligatorio.
Distancia de casa de Ana a casa de David. Aplicamos el teorema de Pitágoras: 

7 Tres barcos se aproximan a un faro como se muestra en la figura, formando triángulos rectángulos. Sabiendo que la distancia del faro al barco 1 es de
y la distancia del faro al barco 3 es de
, calcula la distancia:

Del barco 1 al barco 2
.
Este campo es obligatorio.
Aplicamos el teorema de Pitágoras para obtener la distancia del barco 1 al barco 3 

La distancia buscada es
.
Del barco 1 al barco 3
.
Este campo es obligatorio.
Distancia del barco 2 al barco 3

Si tienes dudas puedes consultar la teoría

Apuntes es una plataforma dirigida al estudio y la práctica de las matemáticas a través de la teoría y ejercicios interactivos que ponemos a vuestra disposición. Esta información está disponible para todo aquel/aquella que quiera profundizar en el aprendizaje de esta ciencia. Será un placer ayudaros en caso de que tengáis dudas frente algún problema, sin embargo, no realizamos un ejercicio que nos presentéis de 0 sin que hayáis si quiera intentado resolverlo. Ánimo, todo esfuerzo tiene su recompensa.
8 un rectangulo tiene ancho 3 unidades.el largo del rectangulo es 5 vaces su ancho.
Cual es el area del rectangulo.
45 u2
8 Un rectángulo tiene un ancho de 3 unidades. El largo del rectángulo es 5 veces su ancho. ¿Cuál es el área del rectángulo?
45u²
unidades
El largo es
Ahora bien, su área es
hola
No,entiendo si estoy poniendo bien el resultado por que me dice que esta mal ? si,estoy poniendo el resultado que aparece en la solución ya lo corregi 5 veces esta mal copiado ? por favor me dicen cual es el problema
Hola tienes razón, tu resultado es correcto, pero en este momento estamos remodelando la pagina y corriendo errores así que pronto vamos a corregir este que mencionas.
Todo bien con los otros ejercicios pero no me fue posible realizar el 1 y 2
Hola estamos a tu disposición para cualquier duda, solo menciona de manera especifica donde te atoras y con gusto te ayudamos.
Hola, soy Clarisa Israel, Ingeniera en Construcciones. Entiendo que el Romboide es un cuadrilátero con caracteristicas especiales y su nombre indica que tiene un parecido con el Rombo. Ese parecido tiene que ver con que sus diagonales son perpendiculares, y se cortan en el punto medio de una de ellas pero no de la otra. De esa manera al unir los puntos, 2 de sus lados consecutivos resultan de igual longitud y los 2 restantes también tienen igual longitud pero distinta a la de los primeros. NO es un paralelogramo pues sus lados opuestos no son paralelos. Tiene la típica forma de un Barrilete.
El material del sitio me parece muy interesante!!
Espero consideren este comentario.
Atentamente
Hola muchas gracias por tu aportación, lo tomaremos en cuenta para mejorar en nuestro contenido.
Se cumple que BM = MC y AQ = QM con A – Q – M y B – M − C. Si a(ABQ) = 8 ul^2, determine el área del ∆ABC.