A continuación veremos un par de ejercicios resueltos utilizando como herramienta el Teorema de Pitágoras:
Dado un triángulo equilátero de
de lado, hallar el área de uno de los sectores determinado por la circunferencia circunscrita y por los radios que pasan por los vértices.
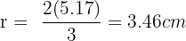
El centro de la circunferencia es el baricentro. Por tanto:

Calculamos el altura del triangulo equilátero utilizando el teorema de Pitágoras 
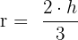
Por tanto, el radio es 
De aquí concluimos que le área es 
Calcular el área de la corona circular determinada por las circunferencias inscrita y circunscrita a un cuadrado de
de diagonal.

Tenemos que la diagonal es dos veces el radio de la circunferencia mayor, es decir,
Ahora, utilizamos el teorema de Pitágoras para calcular el lado del cuadrado 
Conociendo el lado del cuadrado, también conocemos el radio de la circunferencia mas pequeña, pues esta sería 
Por lo tanto el área de la corona circular es

Si los lados no paralelos de un trapecio isósceles se prolongan, quedaría formado un triángulo equilátero de
de lado. Sabiendo que el trapecio tiene la mitad de la altura del triángulo y base menor de
cm, calcular el área del trapecio.
Recordemos que la formula para calcular el área del trapecio es la siguiente
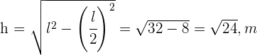
Para encontrar la altura del trapecio debemos calcular primero la altura del triangulo:
entonces 
Como ya tenemos la altura del trapecio procedemos a calcular el área 

Primero encontramos el lado del cuadrado considerando que su área es lado x lado
puesto que su lado es de
cm entonces su perímetro es 
Tenemos que el cuadrado y el hexágono tienen el mismo perímetro, también sabemos que un hexágono tiene 6 lado, por tanto la medida del lado del hexágono es 
Recordando el área del hexágono

entonces 
En una circunferencia de radio igual a
se inscribe un cuadrado y sobre los lados de este y hacia el exterior se construyen triángulos equiláteros. Hallar el área de la estrella así formada.


El área del cuadrado es

Para encontrar el área del triángulo equilátero, dividimos en dos triángulos rectángulos y aplicamos el teorema de Pitágoras para encontrar la altura

El área del triángulo es

El área de la estrella es

Sobre un círculo de
cm de radio se traza un ángulo central de
. Hallar el área del segmento circular comprendido entre la cuerda que une los extremos de los dos radios y su arco correspondiente.

:
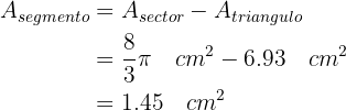
Después debemos calcular el área del triangulo equilátero formado con los dos radio y la cuerda; para esto comenzaremos calculando su altura. Usando el teorema de Pitágoras tendremos que
y entonces el área del triangulo es
Con lo anterior calculamos el área del segmento buscado 
En una circunferencia una cuerda de
y dista
del centro. Calcular el área del círculo.

Calculamos el área del círculo 
Los catetos de un triángulo rectángulo inscrito en una circunferencia miden
y
respectivamente. Calcular el área del círculo.

Calculamos el área del círculo 
. Calcular el área del 
Apuntes es una plataforma dirigida al estudio y la práctica de las matemáticas a través de la teoría y ejercicios interactivos que ponemos a vuestra disposición. Esta información está disponible para todo aquel/aquella que quiera profundizar en el aprendizaje de esta ciencia. Será un placer ayudaros en caso de que tengáis dudas frente algún problema, sin embargo, no realizamos un ejercicio que nos presentéis de 0 sin que hayáis si quiera intentado resolverlo. Ánimo, todo esfuerzo tiene su recompensa.
La respuesta de la pregunta de la número 8 es 45 unidades cuadradas y coloco 45 y sale en rojo no entiendo
Hola tu respuesta esta bien, disculpa por la respuesta estamos trabajando en ello.
8 un rectangulo tiene ancho 3 unidades.el largo del rectangulo es 5 vaces su ancho.
Cual es el area del rectangulo.
45 u2
Si, así es esa es la respuesta, estamos trabajando en ello.
8 Un rectángulo tiene un ancho de 3 unidades. El largo del rectángulo es 5 veces su ancho. ¿Cuál es el área del rectángulo?
45u²
unidades
El largo es
Ahora bien, su área es
hola
No,entiendo si estoy poniendo bien el resultado por que me dice que esta mal ? si,estoy poniendo el resultado que aparece en la solución ya lo corregi 5 veces esta mal copiado ? por favor me dicen cual es el problema
Hola tienes razón, tu resultado es correcto, pero en este momento estamos remodelando la pagina y corriendo errores así que pronto vamos a corregir este que mencionas.
Hola gracias por el aporte, estamos trabajando en ello, una disculpa.