Resuelve los siguientes problemas:
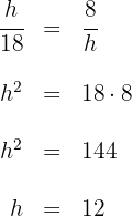
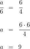
Calcula la altura de un triángulo rectángulo con los datos que se muestran en la figura: 

Este campo es obligatorio.
1 Aplicando el teorema de la altura: 
2 Despejamos

La altura buscada es

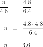
Calcula la altura de un triángulo rectángulo con los datos que se muestran en la figura:


Este campo es obligatorio.
1 Aplicando el teorema de la altura: 
2 Despejamos
La altura buscada es

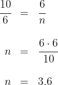
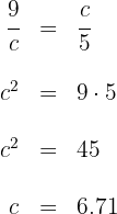
En un triángulo rectángulo, la altura correspondiente a la hipotenusa mide
y la proyección ortogonal de uno de sus catetos mide
. ¿Cuánto mide la hipotenusa de dicho triángulo?
.
Este campo es obligatorio.
1Representamos el problema de forma gráfica

2Aplicando el teorema de la altura se tiene que:
Luego, la otra proyección mide
.
3Por tanto, la hipotenusa mide
.
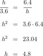
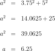
En un triángulo rectángulo, la altura correspondiente a la hipotenusa mide
y su cateto mayor mide
. ¿Cuánto mide la hipotenusa de dicho triángulo?
.
Este campo es obligatorio.
1Representamos el problema de forma gráfica

2Aplicando el teorema de Pitágoras se obtiene:
Luego, la otra proyección del cateto conocido mide
.
3Aplicando el teorema de la altura se tiene 
4Por tanto, la hipotenusa mide
.
En un triángulo rectángulo, sus cateto miden
y
. ¿Cuánto mide la altura correspondiente a la hipotenusa de dicho triángulo?
.
Este campo es obligatorio.
1Representamos el problema de forma gráfica

2Aplicando el teorema de Pitágoras se obtiene:
Luego, la hipotenusa mide
. 
3Aplicando el teorema del cateto se tiene
Luego, la otra proyección mide
.
4Aplicamos el teorema de la altura
Luego, la altura
mide
.
6 Se inscribe un triángulo rectángulo en una circunferencia de radio
cuyo lado
mide
, quedando como muestra la figura.

Calcula la longitud de la hipotenusa
.
Este campo es obligatorio.
En una circunferencia, para cualquier triángulo rectángulo inscrito su hipotenusa es igual al diámetro de la circunferencia, entonces la hipotenusa mide 
¿Cuál debe ser la longitud del lado faltante?
.
Este campo es obligatorio.
Aplicando el teorema de Pitágoras se obtiene: 

¿Sabrías decir cuál es la altura respecto a la hipotenusa?
.
Este campo es obligatorio.
Aplicando el teorema del cateto se tiene

Luego la otra proyección mide 
Aplicando el teorema de la altura se tiene

7Una maqueta de barco usa dos cablecitos para tensar el mástil mayor, debiendo quedar como muestra la figura.
Calcula la distancia a la que debemos colocar el cable
.
.
Este campo es obligatorio.
En primer lugar observemos que se trata de un triángulo rectángulo, por lo que podemos aplicar el teorema del cateto y de la altura.
Aplicamos el teorema del cateto para calcular la distancia a la que se debe encontrar el segundo cable:


Debemos colocar el segundo cable a
de distancia de la base de mástil.
¿Cuál debe ser la longitud de dicho cable?
.
Este campo es obligatorio.
Aplicamos el teorema del cateto para calcular la medida del lado
:

La medida del lado
es de 
¿Sabrías decir cuál es la altura del mástil?
.
Este campo es obligatorio.
Aplicamos el teorema de la altura para calcular la altura del mástil:

El mástil tiene una altura de 
8Observa el tobogán en el que juegan Lucía y Marcos. Calcula la medida del lado
.

.
Este campo es obligatorio.
En primer lugar observemos que se trata de un triángulo rectángulo, por lo que podemos aplicar el teorema del cateto y de la altura.
Aplicamos el teorema del cateto para calcular la medida de
. 
Resolvemos la ecuación cuadrática 
Se obtienen las raíces
y
De las dos soluciones obtenidas sólo es válida la solución positiva, pues el dato que buscamos es una medida, que no puede ser negativa. Por tanto, la distancia pedida es 

¿Cuál es la altura del tobogán?
.
Este campo es obligatorio.
Usamos el teorema de la altura para calcular la altura del tobogán.

Luego, la altura del tobogán es de
.
Si tienes dudas puedes consultar la teoría

Apuntes es una plataforma dirigida al estudio y la práctica de las matemáticas a través de la teoría y ejercicios interactivos que ponemos a vuestra disposición. Esta información está disponible para todo aquel/aquella que quiera profundizar en el aprendizaje de esta ciencia. Será un placer ayudaros en caso de que tengáis dudas frente algún problema, sin embargo, no realizamos un ejercicio que nos presentéis de 0 sin que hayáis si quiera intentado resolverlo. Ánimo, todo esfuerzo tiene su recompensa.
8 un rectangulo tiene ancho 3 unidades.el largo del rectangulo es 5 vaces su ancho.
Cual es el area del rectangulo.
45 u2
8 Un rectángulo tiene un ancho de 3 unidades. El largo del rectángulo es 5 veces su ancho. ¿Cuál es el área del rectángulo?
45u²
unidades
El largo es
Ahora bien, su área es
hola
No,entiendo si estoy poniendo bien el resultado por que me dice que esta mal ? si,estoy poniendo el resultado que aparece en la solución ya lo corregi 5 veces esta mal copiado ? por favor me dicen cual es el problema
Hola tienes razón, tu resultado es correcto, pero en este momento estamos remodelando la pagina y corriendo errores así que pronto vamos a corregir este que mencionas.
Todo bien con los otros ejercicios pero no me fue posible realizar el 1 y 2
Hola estamos a tu disposición para cualquier duda, solo menciona de manera especifica donde te atoras y con gusto te ayudamos.
Hola, soy Clarisa Israel, Ingeniera en Construcciones. Entiendo que el Romboide es un cuadrilátero con caracteristicas especiales y su nombre indica que tiene un parecido con el Rombo. Ese parecido tiene que ver con que sus diagonales son perpendiculares, y se cortan en el punto medio de una de ellas pero no de la otra. De esa manera al unir los puntos, 2 de sus lados consecutivos resultan de igual longitud y los 2 restantes también tienen igual longitud pero distinta a la de los primeros. NO es un paralelogramo pues sus lados opuestos no son paralelos. Tiene la típica forma de un Barrilete.
El material del sitio me parece muy interesante!!
Espero consideren este comentario.
Atentamente
Hola muchas gracias por tu aportación, lo tomaremos en cuenta para mejorar en nuestro contenido.
Se cumple que BM = MC y AQ = QM con A – Q – M y B – M − C. Si a(ABQ) = 8 ul^2, determine el área del ∆ABC.