La mediana de un triángulo es cada una de las rectas que une el punto medio de un lado con el vértice opuesto.

Ecuación de la mediana
Si expresamos los vértices en coordenadas
, para encontrar las medianas, primero necesitamos encontrar los puntos medios de cada uno de sus lados
Punto medio de 

Punto medio de 

Punto medio de 

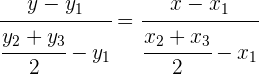
Para encontrar la mediana que pasa por el vértice
, solamente tenemos que hallar la ecuación de la recta que pasa por 

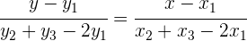
Simplificando se obtiene

Las ecuaciones de las medianas que pasan por
son:

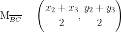
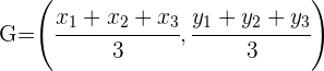
Baricentro
El baricentro de un triángulo es el punto de corte de las tres medianas y sus coordenadas son:

Propiedad del baricentro
El baricentro divide a cada mediana en dos segmentos, el segmento que une el baricentro con el vértice mide el doble que el segmento que une baricentro con el punto medio del lado opuesto.


Apuntes es una plataforma dirigida al estudio y la práctica de las matemáticas a través de la teoría y ejercicios interactivos que ponemos a vuestra disposición. Esta información está disponible para todo aquel/aquella que quiera profundizar en el aprendizaje de esta ciencia. Será un placer ayudaros en caso de que tengáis dudas frente algún problema, sin embargo, no realizamos un ejercicio que nos presentéis de 0 sin que hayáis si quiera intentado resolverlo. Ánimo, todo esfuerzo tiene su recompensa.
La respuesta de la pregunta de la número 8 es 45 unidades cuadradas y coloco 45 y sale en rojo no entiendo
Hola tu respuesta esta bien, disculpa por la respuesta estamos trabajando en ello.
8 un rectangulo tiene ancho 3 unidades.el largo del rectangulo es 5 vaces su ancho.
Cual es el area del rectangulo.
45 u2
Si, así es esa es la respuesta, estamos trabajando en ello.
8 Un rectángulo tiene un ancho de 3 unidades. El largo del rectángulo es 5 veces su ancho. ¿Cuál es el área del rectángulo?
45u²
unidades
El largo es
Ahora bien, su área es
hola
No,entiendo si estoy poniendo bien el resultado por que me dice que esta mal ? si,estoy poniendo el resultado que aparece en la solución ya lo corregi 5 veces esta mal copiado ? por favor me dicen cual es el problema
Hola tienes razón, tu resultado es correcto, pero en este momento estamos remodelando la pagina y corriendo errores así que pronto vamos a corregir este que mencionas.
Hola gracias por el aporte, estamos trabajando en ello, una disculpa.