Capítulos
En este artículo veremos como calcular apotemas tanto de polígonos regulares, en dos dimensiones, como de pirámides y otras figuras geométricas tridimensionales.
Recordemos que la apotema de un polígono regular es la distancia del centro al punto medio de un lado.
Apotema de un triángulo equilátero

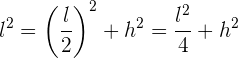
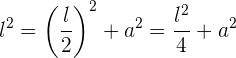
Primero encontremos el valor de un lado del triángulo en términos del radio de la circunferencia circunscrita al él. Notemos en la figura, que la altura es igual al apotema más el radio, esto es

Además, usando el teorema de pitágoras, obtenemos que

esto usando el triángulo rectángulo formado por el lado, la altura y la mitad de la base que es igual a la mitad del lado. Ahora, despejando
obtenemos

sacando raíz

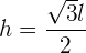
Entonces, sustituyendo
tenemos

o bien

elevando al cuadrado

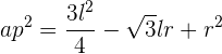
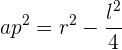
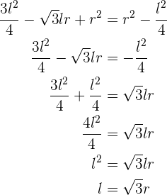
Además, notemos que tenemos otro triángulo rectángulo formado por el apotema, el radio y la mitad de un lado, de este triángulor rectángulo se sigue que

despejando el apotema al cuadrado tenemos

Igualemos los dos resultados obtenidos para
, y despejemos el lado, esto es

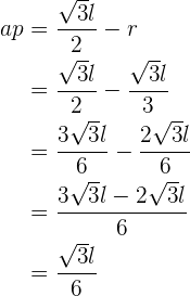
esto también nos quiere decir que

racionalizando el denominador

Ahora, sustituyamos este valor en la igualdad
que obtuvimos previamente

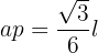
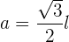
Así, el apotema es igual a
.
Notemos que aqui hemos obtenido tanto el radio como el apotema en términos del lado del triángulo. Veamos el siguiente ejemplo
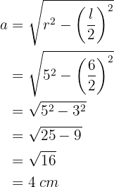
Calcular la apotema de un triángulo equilátero de
de lado.

Tenemos que nuestra fórmula es

sustituyendo el valor del lado obtenemos

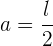
Apotema de un cuadrado

La apotema de un cuadrado es igual a la mitad del lado, esto es,

Veamos el siguiente ejemplo
Calcular la apotema de un cuadrado de
de lado.

Tenemos que nuestra fórmula es

sustituyendo el valor del lado obtenemos

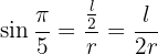
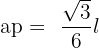
Apotema de un pentágono

Primero, recordemos que el ángulo central de un pentágono es
radianes, por lo tanto, el ángulo comprendido entre el apotema y el radio es la mitad, esto es
. Ahora, el seno de este ángulo es el cateto opuesto entre hipotenusa, esto es

despejando
tenemos que

entonces, podemos obtener directamente el radio a partir un lado, ya que el seno lo podemos calcular directamente con la calculadora.
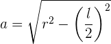
Ahora bien, utilizando el teorema de pitágoras tenemos que

despejando el apotema y sacando raíz

esta fórmula la podemos usar directamente si ya tenemos el valor del radio y de un lado. Si solo contamos con el valor de un lado, entonces sustituimos el valor del radio en términos del lado

Notemos que aquí el apotema depende únicamente del lado, sin embargo necesitamos hacer más operaciones, por lo tanto es más conveniente contar con el lado y el radio.
Veamos el siguiente ejemplo
Calcular la apotema de un pentágono de
de lado y
de radio.

Tenemos que nuestra fórmula es

sustituyendo el valor del lado y el radio obtenemos

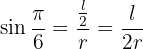
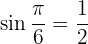
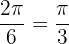
Apotema de un hexágono

Primero, recordemos que el ángulo central de un pentágono es
radianes, por lo tanto, el ángulo comprendido entre el apotema y el radio es la mitad, esto es
. Ahora, el seno de este ángulo es el cateto opuesto entre hipotenusa, esto es

sin embargo, también tenemos que

de donde se sigue que

entonces, tenemos que en un hegáxono, el radio radio mide lo mismo que un lado.
Ahora bien, utilizando el teorema de pitágoras tenemos que

o bien

sacando raíz

Veamos el siguiente ejemplo
Calcular la apotema de un pentágono de
de lado.

Tenemos que nuestra fórmula es

sustituyendo el valor del lado y el radio obtenemos

Apotema de una pirámide
La apotema lateral de una pirámide regular es la altura de cualquiera de sus caras laterales.

Calculamos la apotema lateral de la pirámide (
), conociendo la altura (
), y la apotema de la base (
), aplicando el teorema de Pitágoras en el triángulo sombreado. Por lo tanto, el cuadrado del apotema lateral estaría dado por

o bien, el apotema lateral estaría dado por

Apotema de un tronco pirámide
Un tronco pirámide regular está formado por dos bases que son polígonos regulares semejantes, y varias caras laterales que son trapecios isósceles. Las apotemas son las alturas de estos trapecios.

Calculamos la apotema lateral del tronco pirámide (
), conociendo la altura (
), la apotema de la base mayor (
) y apotema de la base menor (
), aplicando el teorema de Pitágoras en el triángulo sombreado en la imagen.
Notemos que en este triángulo, uno de los catetos es la altura mientras que el otro es la diferencia del apotema de la base mayor menos el apotema de la base menor, por lo tanto, el cuadrado del apotema lateral es

o bien, el apotema lateral sería










Apuntes es una plataforma dirigida al estudio y la práctica de las matemáticas a través de la teoría y ejercicios interactivos que ponemos a vuestra disposición. Esta información está disponible para todo aquel/aquella que quiera profundizar en el aprendizaje de esta ciencia. Será un placer ayudaros en caso de que tengáis dudas frente algún problema, sin embargo, no realizamos un ejercicio que nos presentéis de 0 sin que hayáis si quiera intentado resolverlo. Ánimo, todo esfuerzo tiene su recompensa.
8 Un rectángulo tiene un ancho de 3 unidades. El largo del rectángulo es 5 veces su ancho. ¿Cuál es el área del rectángulo?
45u²
unidades
El largo es
Ahora bien, su área es
hola
No,entiendo si estoy poniendo bien el resultado por que me dice que esta mal ? si,estoy poniendo el resultado que aparece en la solución ya lo corregi 5 veces esta mal copiado ? por favor me dicen cual es el problema
Hola tienes razón, tu resultado es correcto, pero en este momento estamos remodelando la pagina y corriendo errores así que pronto vamos a corregir este que mencionas.
Todo bien con los otros ejercicios pero no me fue posible realizar el 1 y 2
Hola estamos a tu disposición para cualquier duda, solo menciona de manera especifica donde te atoras y con gusto te ayudamos.
Hola, soy Clarisa Israel, Ingeniera en Construcciones. Entiendo que el Romboide es un cuadrilátero con caracteristicas especiales y su nombre indica que tiene un parecido con el Rombo. Ese parecido tiene que ver con que sus diagonales son perpendiculares, y se cortan en el punto medio de una de ellas pero no de la otra. De esa manera al unir los puntos, 2 de sus lados consecutivos resultan de igual longitud y los 2 restantes también tienen igual longitud pero distinta a la de los primeros. NO es un paralelogramo pues sus lados opuestos no son paralelos. Tiene la típica forma de un Barrilete.
El material del sitio me parece muy interesante!!
Espero consideren este comentario.
Atentamente
Hola muchas gracias por tu aportación, lo tomaremos en cuenta para mejorar en nuestro contenido.
Se cumple que BM = MC y AQ = QM con A – Q – M y B – M − C. Si a(ABQ) = 8 ul^2, determine el área del ∆ABC.
No me deja poner 45u²
Hola puedes hacernos el favor de decirnos el número de ejercicio para poder corregirlo.