Capítulos
Teorema del cateto
En todo triángulo rectángulo un cateto es media proporcional entre la hipotenusa y su proyección sobre ella.

Donde:
es la hipotenusa.
y
son los catetos.
es la proyección del cateto
sobre la hipotenusa.
es la proyección del cateto
sobre la hipotenusa.
Dicho lo anterior, se satisfacen las siguientes relaciones:
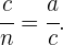
Ejemplo:La hipotenusa de un triángulo rectángulo mide
cm y la proyección de un cateto sobre ella
cm. Hallar el otro cateto.

Solución:Para resolver este problema, usaremos la segunda fórmula de arriba, esto es,

con
y
. Así

Teorema de la altura

En un triángulo rectángulo, la altura relativa a la hipotenusa es media proporcional entre los dos segmentos que dividen a ésta.
Se satisfacen las siguientes relaciones:
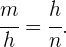
Ejemplo:En un triángulo rectángulo, las proyecciones de los catetos sobre la hipotenusa miden
y
centimetros. Calcular la altura relativa a la hipotenusa.

Solución:Para resolver este problema, usaremos la primera fórmula de arriba, esto es,

con
y
. Así

Teorema de Pitágoras

En un triángulo rectángulo, el cuadrado de la hipotenusa es igual a la suma de los cuadrados de los catetos, esto es,

Aplicaciones del teorema de Pitágoras
Conociendo los dos catetos calcular la hipotenusa
Al conocer los valores de los dos catetos, podemos despejar para la hipotenusa:

Ejemplo: Los catetos de un triángulo rectángulo miden en
m y
m respectivamente. ¿Cuánto mide la hipotenusa?

Solución: Al conocer el valor de los dos catetos, usamos la fórmula de arriba, esto es,

Así,

Conociendo la hipotenusa y un cateto, calcular el otro cateto
Conociendo la hipotenusa y un cateto, del terorema de Pitágoras se sigue que

Ejemplo: La hipotenusa de un triángulo rectángulo mide
m y uno de sus catetos
m. ¿Cuánto mide el otro cateto?

Solución:Al conocer la hipotenusa
y el cateto
, usamos la fórmula

Así, se tiene que

Conociendo sus lados, averiguar si es un triángulo rectángulo
Para que sea triángulo rectángulo el cuadrado de lado mayor ha de ser igual a la suma de los cuadrados de los dos menores, es decir, si se verifica el teorema de Pitágoras
Ejemplo: Determinar si el triángulo es rectángulo.

Solución: Para determinar si tenemos un triángulo rectángulo, verificamos el teorema de Pitágoras:

Por lo tanto, el triángulo sí es rectángulo.
Calcular la diagonal del cuadrado

Para calcular la diagonal de cuadrado, observamos que los catetos que se forman al trazar la diagonal, son iguales y valen
. Así, por el teorema de Pitágoras tenemos que

Calcular la diagonal del rectángulo

En este caso tenemos todos los datos necesarios para utilizar el teorema de pitágoras. Así

Calcular el lado oblicuo del trapecio rectángulo

El lado oblicuo del trapecio corresponde a
. Ahora, observamos que
, así, usando el teorema de Pitágoras obternemos que

Calcular la altura del trapecio isósceles

Utilizando nuestros conocimientos de geometría analítica, sabemos que

Así, al conocer la hipotenusa,
, del tríangulo y uno de sus catetos,
, entonces tenemos que

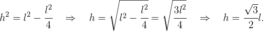
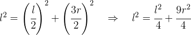
Calcular la altura del triángulo equilátero

Dado que un triángulo equilátero, por definición, tiene todos sus lados iguales entonces, al trazar su altura dividimos la base entre dos. Así, se forman dos triángulos rectángulos de los cuales conocemos su hipotenusa y uno de sus catetos. Por lo tanto, el teorema de Pitágoras nos dice que

Por lo tanto,

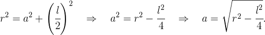
Calcular el apotema de un polígono regular

De la figura observamos que el apotema corresponde a uno de los catetos del triágulo que se forma en su interior, del cual conocemos su hipotenusa y su otro cateto. Así, el teorema de Pitágoras nos dice que

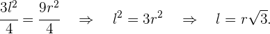
Calcular el apotema del hexágono inscrito

Tenemos un círculo de radio
y un hexágono regular de lado
. El apotema del hexágono inscrito divide uno de los lados del hexágono en dos, formando así un triángulo rectángulo del cual conocemos su hipotenusa,
, y uno de sus catetos,
. Así, el teorema de Pitágoras nos dice que

Calcular el lado de un triángulo equilátero inscrito

Tenemos un círculo de radio
y en el insctrito triángulo equilátero de lado
. Debemos calcular el lado del triángulo en función del radio del círculo. Para eso observamos que, si denotamos por
el centro del círculo y por lo tanto, el centro del triángulo, entonces la base del triángulo corta en dos el radio
formando así un tríangulo rectángulo del cual conocemos su cateto o base,
y el otro cateto que tiene dimensiones
.Además su hipotenusa es
. Por lo tanto, el teorema de Pitágoras nos dice que se debe cumplir que

Entonces

Calcular el lado de un cuadrado inscrito

Tenemos un círculo de radio
e inscrito un cuadrado de lado
. El centro del círculo también corresponde al centro del cuadrado. Dos radios del círculo junto con el lado del cuadrado inscrito forman un triángulo rectángulo de hipotenusa
y catetos
. Para calcular la hipotenusa del triángulo en función del radio usamos el teorema de Pitágoras. Así
















Apuntes es una plataforma dirigida al estudio y la práctica de las matemáticas a través de la teoría y ejercicios interactivos que ponemos a vuestra disposición. Esta información está disponible para todo aquel/aquella que quiera profundizar en el aprendizaje de esta ciencia. Será un placer ayudaros en caso de que tengáis dudas frente algún problema, sin embargo, no realizamos un ejercicio que nos presentéis de 0 sin que hayáis si quiera intentado resolverlo. Ánimo, todo esfuerzo tiene su recompensa.
8 un rectangulo tiene ancho 3 unidades.el largo del rectangulo es 5 vaces su ancho.
Cual es el area del rectangulo.
45 u2
8 Un rectángulo tiene un ancho de 3 unidades. El largo del rectángulo es 5 veces su ancho. ¿Cuál es el área del rectángulo?
45u²
unidades
El largo es
Ahora bien, su área es
hola
No,entiendo si estoy poniendo bien el resultado por que me dice que esta mal ? si,estoy poniendo el resultado que aparece en la solución ya lo corregi 5 veces esta mal copiado ? por favor me dicen cual es el problema
Hola tienes razón, tu resultado es correcto, pero en este momento estamos remodelando la pagina y corriendo errores así que pronto vamos a corregir este que mencionas.
Todo bien con los otros ejercicios pero no me fue posible realizar el 1 y 2
Hola estamos a tu disposición para cualquier duda, solo menciona de manera especifica donde te atoras y con gusto te ayudamos.
Hola, soy Clarisa Israel, Ingeniera en Construcciones. Entiendo que el Romboide es un cuadrilátero con caracteristicas especiales y su nombre indica que tiene un parecido con el Rombo. Ese parecido tiene que ver con que sus diagonales son perpendiculares, y se cortan en el punto medio de una de ellas pero no de la otra. De esa manera al unir los puntos, 2 de sus lados consecutivos resultan de igual longitud y los 2 restantes también tienen igual longitud pero distinta a la de los primeros. NO es un paralelogramo pues sus lados opuestos no son paralelos. Tiene la típica forma de un Barrilete.
El material del sitio me parece muy interesante!!
Espero consideren este comentario.
Atentamente
Hola muchas gracias por tu aportación, lo tomaremos en cuenta para mejorar en nuestro contenido.
Se cumple que BM = MC y AQ = QM con A – Q – M y B – M − C. Si a(ABQ) = 8 ul^2, determine el área del ∆ABC.