Capítulos
Definición de triángulo
Un triángulo es un polígono que está determinado por tres segmentos de recta que se denominan lados, o por tres puntos no alineados llamados vértices.



Los vértices de un triángulo se escriben con letras mayúsculas.
Los lados de un triángulo se escriben en minúscula, con las mismas letras de los vértices opuestos.
Los ángulos de un triángulo se escriben igual que los vértices.
Propiedades de los triángulos
1 Un lado de un triángulo es menor que la suma de los otros dos y mayor que su diferencia.


2 La suma de los ángulos interiores de un triángulo es igual a
.

3En un triángulo a mayor lado se opone mayor ángulo.

4 El valor de un ángulo exterior es igual a la suma de los dos interiores no adyacentes. Si un triángulo tiene dos lados iguales, sus ángulos opuestos también son iguales.

Triángulos iguales
1Dos triángulos son iguales cuando tienen iguales un lado y sus dos ángulos adyacentes.
2Dos triángulos son iguales cuando tienen dos lados iguales y el ángulo comprendido.
3Dos triángulos son iguales cuando tienen los tres lados iguales.
Clases de triángulos según sus lados y formulas de sus perímetros

Clases de triángulos según sus ángulos
Triángulo acutángulo
Tiene sus tres ángulos agudos

Triángulo rectángulo
Tiene un ángulo recto.
El lado mayor es la hipotenusa.
Los lados menores son los catetos.

Triángulo obtusángulo
Tiene un ángulo obtuso.

Clases de triángulos según sus lados
Triángulo equilátero: es aquel que tiene sus tres lados iguales

Triángulo isósceles: es aquel que tiene dos lados iguales

Triángulo escaleno: es aquel que tiene sus tres lados desiguales

Elementos notables en los triángulos
Alturas de un triángulo:
Altura es cada una de las rectas perpendiculares trazadas desde un vértice al lado opuesto (o su prolongación).
Ortocentro
Es el punto de corte de las tres alturas.
Medianas de un triángulo
Mediana es cada una de las rectas que une el punto medio de un lado con el vértice opuesto.
Baricentro
Es el punto de corte de las tres medianas.
El baricentro divide a cada mediana en dos segmentos, el segmento que une el baricentro con el vértice mide el doble que el segmento que une baricentro con el punto medio del lado opuesto.
Mediatrices de un triángulo
Mediatriz es cada una de las rectas perpendiculares trazadas a un lado por su punto medio.
Circuncentro
Es el punto de corte de las tres mediatrices.
Es el centro de una circunferencia circunscrita al triángulo.
Bisectrices de un triángulo
Bisectriz es cada una de las rectas que divide a un ángulo en dos ángulos iguales.
Incentro
Es el punto de corte de las tres bisetrices.
Es el centro de una circunferencia inscrita en el triángulo.
Recta de Euler
El ortocentro, el baricentro y el circuncentro de un triángulo no equilátero están alineados; es decir; pertenecen a la misma recta, llamada recta de Euler.
Área del triángulo
El área de un triángulo es igual a la mitad del producto de su base por su altura.


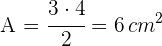
Ejemplo: Hallar el área del siguiente triángulo

La base es de
y altura
, por lo que su área es

Área de un triángulo rectángulo
El área de un triángulo rectángulo es igual la mitad del producto de sus catetos.


Ejemplo: Hallar el área del triángulo rectángulo cuyos catetos miden
y
.

Los catetos son
y
, por lo que su área es

Semiperímetro
El semiperímetro de un triángulo es igual a la suma de sus lados partido por 2. Se denota con la letra 

Conociendo dos lados y el ángulo que forman


Circunferencia circunscrita a un triángulo


donde
es el radio de la circunferencia circunscrita
Circunferencia inscrita en un triángulo


donde
es el radio de la circunferencia inscrita
Teoremas y fórmulas
Teorema del cateto



Teorema de la altura


Teorema de Pitágoras





Fórmula de Herón.


donde
es el semiperímetro.
Ejemplo: Hallar el área del triángulo cuyos lados miden
y
.
Calculamos el semiperímetro

Aplicamos la fórmula de Herón

Diagonal del cuadrado


Diagonal del rectángulo


Lado oblicuo del trapecio rectángulo



Altura del trapecio isósceles



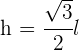
Altura del triángulo equilátero


Apotema de un polígono regular


Apotema del hexágono inscrito


Lado de un triángulo equilátero inscrito


Lado de un cuadrado inscrito











Apuntes es una plataforma dirigida al estudio y la práctica de las matemáticas a través de la teoría y ejercicios interactivos que ponemos a vuestra disposición. Esta información está disponible para todo aquel/aquella que quiera profundizar en el aprendizaje de esta ciencia. Será un placer ayudaros en caso de que tengáis dudas frente algún problema, sin embargo, no realizamos un ejercicio que nos presentéis de 0 sin que hayáis si quiera intentado resolverlo. Ánimo, todo esfuerzo tiene su recompensa.
8 un rectangulo tiene ancho 3 unidades.el largo del rectangulo es 5 vaces su ancho.
Cual es el area del rectangulo.
45 u2
8 Un rectángulo tiene un ancho de 3 unidades. El largo del rectángulo es 5 veces su ancho. ¿Cuál es el área del rectángulo?
45u²
unidades
El largo es
Ahora bien, su área es
hola
No,entiendo si estoy poniendo bien el resultado por que me dice que esta mal ? si,estoy poniendo el resultado que aparece en la solución ya lo corregi 5 veces esta mal copiado ? por favor me dicen cual es el problema
Hola tienes razón, tu resultado es correcto, pero en este momento estamos remodelando la pagina y corriendo errores así que pronto vamos a corregir este que mencionas.
Todo bien con los otros ejercicios pero no me fue posible realizar el 1 y 2
Hola estamos a tu disposición para cualquier duda, solo menciona de manera especifica donde te atoras y con gusto te ayudamos.
Hola, soy Clarisa Israel, Ingeniera en Construcciones. Entiendo que el Romboide es un cuadrilátero con caracteristicas especiales y su nombre indica que tiene un parecido con el Rombo. Ese parecido tiene que ver con que sus diagonales son perpendiculares, y se cortan en el punto medio de una de ellas pero no de la otra. De esa manera al unir los puntos, 2 de sus lados consecutivos resultan de igual longitud y los 2 restantes también tienen igual longitud pero distinta a la de los primeros. NO es un paralelogramo pues sus lados opuestos no son paralelos. Tiene la típica forma de un Barrilete.
El material del sitio me parece muy interesante!!
Espero consideren este comentario.
Atentamente
Hola muchas gracias por tu aportación, lo tomaremos en cuenta para mejorar en nuestro contenido.
Se cumple que BM = MC y AQ = QM con A – Q – M y B – M − C. Si a(ABQ) = 8 ul^2, determine el área del ∆ABC.