Resuelve los siguientes problemas:
Calcula la superficie del siguiente trapecio.


Este campo es obligatorio.
1 En primer lugar observamos que se trata de un trapecio.
2 Expresamos todas las medidas en la misma unidad
Base menor 
Base mayor 
Altura 

3 Sustituimos los datos en la fórmula del área del trapecio

Un terreno tiene la siguiente forma de trapecio, su base mayor mide
y su altura
. Sabiendo que el área de dicho terreno es de
hectáreas, ¿cuál es el la longitud de la base menor del terreno?

Este campo es obligatorio.
1 En primer lugar observemos que se trata de un trapecio
2 Debemos expresar todas las medidas en la misma unidad.
Altura 
Base mayor 
Área 
3 Por tanto, si llamamos
a la medida de la base menor, el área del terreno vendría dada por

Resolvemos para
y obtenemos 
¿Cuál es el área de un triángulo rectángulo cuyos catetos miden
y
?

Este campo es obligatorio.
1El área de un triángulo rectángulo es igual a la mitad del producto de sus catetos
2A partir de los datos proporcionados tenemos que los catetos miden
y 
3Susutituimos en la fórmula del área de un triángulo y obtenemos

Observa el siguiente dibujo y calcula el área del triángulo que enmarca el árbol de Navidad.

El área pedida es de 
Este campo es obligatorio.
1El área de un triángulo es igual a la mitad del producto de su base por su altura
2A partir de los datos proporcionados tenemos que la base mide
y la altura 
3Susutituimos en la fórmula del área de un triángulo y obtenemos

Dado un cuadrado de
de área, ¿sabrías decir cuál es el área de cada uno de los triángulos que se forman al trazar las diagonales de dicho cuadrado?

Este campo es obligatorio.
1Al trazar las diagonales de cuadrado, este se divide en cuatro triángulos iguales

2Para obtener el área de cada triángulo, basta con dividir el área del cuadrado entre cuatro

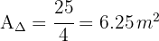
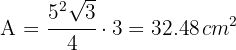
Dados tres triángulos equiláteros de lado
, se acomodan para formar un trapecio. ¿Cuál es el área del trapecio?

Este campo es obligatorio.

1El área de un triángulo equilátero viene dado por

2Sustituimos el lado de
en la fórmula de área

3Así, el área del trapecio es

Un triángulo equilátero de lado
, se corta en los puntos medios de dos de sus lados obteniendose un trapecio. ¿Cuál es la medida de la base menor del trapecio?

Este campo es obligatorio.
1Se trazan segmentos con extremos los puntos medios del triángulo equilátero

2Se obtienen cuatro triángulos equiláteros iguales, cada uno de lado 
3Así, la base menor del trapecio es 
Dado un trapecio con base mayor igual al doble de su base menor, se extienden sus lados no paralelos hasta formar un triángulo. Si el área del triángulo cuya base es la base menor del trapecio es
, ¿cuál es el área del triángulo mayor?


Este campo es obligatorio.
1Ambos triángulos son semejantes
2La razón de semejanza entre sus bases es

3Dados dos triángulos semejantes, la razón de sus áreas es igual al cuadrado de la razon de sus lados

Como el área del triángulo pequeño es
, tenemos que el área
del triángulo mayor es

Dado un trapecio con base mayor igual al triple de su base menor, se extienden sus lados no paralelos hasta formar un triángulo. Si el área del triángulo cuya base es la base menor del trapecio es
, ¿cuál es el área del trapecio?
ejercicios de triangulos y trapecios 1

Este campo es obligatorio.
1Ambos triángulos son semejantes
2La razón de semejanza entre sus bases es

3Dados dos triángulos semejantes, la razón de sus áreas es igual al cuadrado de la razon de sus lados

Como el área del triángulo pequeño es
, tenemos que el área
del triángulo mayor es

4Así, el área del trapecio es igual a la diferencia de las áreas de los triángulos

Dado un hexágono de área
, prolongamos dos lados para obtener un trapecio. ¿Cuál es el área del trapecio?


Este campo es obligatorio.
1Dividimos el hexágono en seis triángulos iguales

2El área de cada uno de los triángulos es

3Se añaden dos triángulos también de área
para formar el trapecio
4Así, el área del trapecio es igual

Si tienes dudas puedes consultar la teoría

Apuntes es una plataforma dirigida al estudio y la práctica de las matemáticas a través de la teoría y ejercicios interactivos que ponemos a vuestra disposición. Esta información está disponible para todo aquel/aquella que quiera profundizar en el aprendizaje de esta ciencia. Será un placer ayudaros en caso de que tengáis dudas frente algún problema, sin embargo, no realizamos un ejercicio que nos presentéis de 0 sin que hayáis si quiera intentado resolverlo. Ánimo, todo esfuerzo tiene su recompensa.
8 Un rectángulo tiene un ancho de 3 unidades. El largo del rectángulo es 5 veces su ancho. ¿Cuál es el área del rectángulo?
45u²
unidades
El largo es
Ahora bien, su área es
hola
No,entiendo si estoy poniendo bien el resultado por que me dice que esta mal ? si,estoy poniendo el resultado que aparece en la solución ya lo corregi 5 veces esta mal copiado ? por favor me dicen cual es el problema
Hola tienes razón, tu resultado es correcto, pero en este momento estamos remodelando la pagina y corriendo errores así que pronto vamos a corregir este que mencionas.
Todo bien con los otros ejercicios pero no me fue posible realizar el 1 y 2
Hola estamos a tu disposición para cualquier duda, solo menciona de manera especifica donde te atoras y con gusto te ayudamos.
Hola, soy Clarisa Israel, Ingeniera en Construcciones. Entiendo que el Romboide es un cuadrilátero con caracteristicas especiales y su nombre indica que tiene un parecido con el Rombo. Ese parecido tiene que ver con que sus diagonales son perpendiculares, y se cortan en el punto medio de una de ellas pero no de la otra. De esa manera al unir los puntos, 2 de sus lados consecutivos resultan de igual longitud y los 2 restantes también tienen igual longitud pero distinta a la de los primeros. NO es un paralelogramo pues sus lados opuestos no son paralelos. Tiene la típica forma de un Barrilete.
El material del sitio me parece muy interesante!!
Espero consideren este comentario.
Atentamente
Hola muchas gracias por tu aportación, lo tomaremos en cuenta para mejorar en nuestro contenido.
Se cumple que BM = MC y AQ = QM con A – Q – M y B – M − C. Si a(ABQ) = 8 ul^2, determine el área del ∆ABC.
No me deja poner 45u²
Hola puedes hacernos el favor de decirnos el número de ejercicio para poder corregirlo.