Elementos notables de un triángulo
Alturas de un triángulo
Altura es cada una de las rectas perpendiculares trazadas desde un vértice al lado opuesto (o su prolongación).
Ortocentro
Es el punto de corte de las tres alturas.

Medianas de un triángulo
Mediana es cada una de las rectas que une el punto medio de un lado con el vértice opuesto.
Baricentro

Es el punto de corte de las tres medianas.
El baricentro divide a cada mediana en dos segmentos, el segmento que une el baricentro con el vértice mide el doble que el segmento que une baricentro con el punto medio del lado opuesto.
¿Y si pruebas con un profesor de mates de Superprof?
Mediatrices de un triángulo
Mediatriz es cada una de las rectas perpendiculares trazadas a un lado por su punto medio.
Circuncentro

Es el punto de corte de las tres mediatrices.
Es el centro de una circunferencia circunscrita al triángulo.
Bisectrices de un triángulo
Bisectriz es cada una de las rectas que divide a un ángulo en dos ángulos iguales.
Incentro

Es el punto de corte de las tres bisetrices.
Es el centro de una circunferencia inscrita en el triángulo.
Recta de Euler

El ortocentro, el baricentro y el circuncentro de un triángulo no equilátero están alineados; es decir, pertenecen a la misma recta, llamada recta de Euler.
Ejercicios propuestos
Para el triángulo con vértices
encontrar:
las alturas

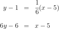
1 Buscamos la ecuación de la altura
que pasa por el vértice
y el lado opuesto a este.
Como la altura es perpendicular al lado opuesto, calculamos la pendiente
del lado 

La pendiente
de la altura es

La altura
tiene pendiente
y pasa por el punto
. Calculamos su ecuación

Así, la ecuación de la altura
es 
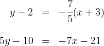
2 Buscamos la ecuación de la altura
que pasa por el vértice
y el lado opuesto a este.
Como la altura es perpendicular al lado opuesto, calculamos la pendiente
del lado 

La pendiente
de la altura es

La altura
tiene pendiente
y pasa por el punto
. Calculamos su ecuación

Así, la ecuación de la altura
es 
3 Buscamos la ecuación de la altura
que pasa por el vértice
y el lado opuesto a este.
Como la altura es perpendicular al lado opuesto, calculamos la pendiente
del lado 

La pendiente
de la altura es

La altura
tiene pendiente
y pasa por el punto
. Calculamos su ecuación

Así, la ecuación de la altura
es 
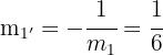
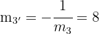
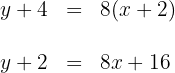
el ortocentro

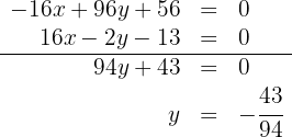
1 Buscamos la intersección de las alturas
para lo cual multiplicamos por 7 la primera altura y sumamos la segunda altura para obtener la segunda coordenada del ortocentro

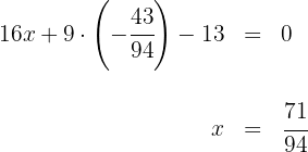
2 Sustituimos el valor de la segunda coordenada del ortocentro en la ecuación de la primera altura y despejamos para obtener la primera coordenada del ortocentro

3 Verificamos que el ortocentro pertenece a la altura 

la igualdad se satisface por lo que el ortocentro
es la intersección de las tres alturas
las medianas

1 Buscamos los puntos medios de los lados del triángulo
El punto medio
del lado
es

El punto medio
del lado
es

El punto medio
del lado
es

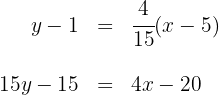
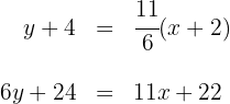
2 Buscamos la ecuación de la mediana
que pasa por el vértice
y el punto medio del lado opuesto a este
Calculamos la pendiente que pasa por
y 

La mediana
tiene pendiente
y pasa por el punto
. Calculamos su ecuación

Así, la ecuación de la mediana
es 
3 Buscamos la ecuación de la mediana
que pasa por el vértice
y el punto medio del lado opuesto a este
Calculamos la pendiente que pasa por
y 

La mediana
tiene pendiente
y pasa por el punto
. Calculamos su ecuación

Así, la ecuación de la mediana
es 
4 Buscamos la ecuación de la mediana
que pasa por el vértice
y el punto medio del lado opuesto a este
Calculamos la pendiente que pasa por
y 

La mediana
tiene pendiente
y pasa por el punto
. Calculamos su ecuación

Así, la ecuación de la mediana
es 
el baricentro

1 Buscamos la intersección de las medianas
para lo cual multiplicamos por
la primera mediana, por
la segunda mediana y sumamos ambas medianas para obtener la segunda coordenada del baricentro

2 Sustituimos el valor de la segunda coordenada del baricentro en la ecuación de la segunda mediana y despejamos para obtener la primera coordenada del baricentro

3 Verificamos que el baricentro pertenece a la mediana 

la igualdad se satisface por lo que el baricentro
es la intersección de las tres medianas
las mediatrices

1 Buscamos los puntos medios de los lados del triángulo
El punto medio
del lado
es

El punto medio
del lado
es

El punto medio
del lado
es

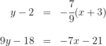
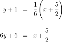
2 Buscamos la ecuación de la mediatriz
que pasa por el punto medio de
y es perpendicular a este.
Calculamos la pendiente
del lado 

La pendiente
de la mediatriz es

La mediatriz
tiene pendiente
y pasa por el punto
. Calculamos su ecuación

Así, la ecuación de la mediatriz
es 
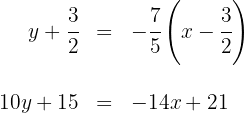
3 Buscamos la ecuación de la mediatriz
que pasa por el punto medio de
y es perpendicular a este.
Calculamos la pendiente
del lado 

La pendiente
de la mediatriz es

La mediatriz
tiene pendiente
y pasa por el punto
. Calculamos su ecuación

Así, la ecuación de la mediatriz
es 
4 Buscamos la ecuación de la mediatriz
que pasa por el punto medio de
y es perpendicular a este.
Calculamos la pendiente
del lado 

La pendiente
de la mediatriz es

La mediatriz
tiene pendiente
y pasa por el punto
. Calculamos su ecuación

Así, la ecuación de la altura
es 
el circuncentro

1 Buscamos la intersección de las mediatrices
para lo cual multiplicamos por
la primera mediatriz y sumamos ambas mediatrices para obtener la segunda coordenada del circuncentro

2 Sustituimos el valor de la segunda coordenada del circuncentro en la ecuación de la segunda mediatriz y despejamos para obtener la primera coordenada del circuncentro

3 Verificamos que el circuncentro pertenece a la mediatriz 
7x + 5y - 3

la igualdad se satisface por lo que el circuncentro
es la intersección de las tres mediatrices
las bisectrices

1 Para encontrar la ecuación de una bisectriz, basta igualar la distancia de los puntos de la bisectriz con los lados del ángulo en cuestión, esto es, si los lados que forman el ángulos son

entonces la bisectriz se obtiene de

2 Buscamos la ecuación de la bisectriz de
para esto necesitamos encontrar las ecuaciones de los lados
y
. Empleando la ecuación de la recta que pasa por dos puntos obtenemos:
la recta 

la ecuación es

la recta 

la ecuación es

Aplicamos la fórmula para obtener la bisectriz

Así, la ecuación de la bisectriz
es

3 Buscamos la ecuación de la bisectriz de
para esto necesitamos encontrar las ecuaciones de los lados
y
. Empleando la ecuación de la recta que pasa por dos puntos obtenemos:
la recta 

la ecuación es

la recta 

la ecuación es

Aplicamos la fórmula para obtener la bisectriz

Así, la ecuación de la bisectriz
es

4 Buscamos la ecuación de la bisectriz de
para esto necesitamos encontrar las ecuaciones de los lados
y
. Empleando la ecuación de la recta que pasa por dos puntos obtenemos:
la recta 

la ecuación es

la recta 

la ecuación es

Aplicamos la fórmula para obtener la bisectriz

Así, la ecuación de la bisectriz
es

el incentro

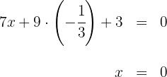
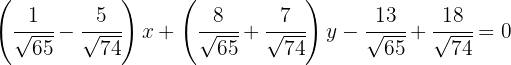
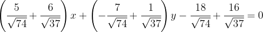
1 Buscamos la intersección de las bisectrices
para lo cual multiplicamos por
la primera bisectriz, por
y sumamos ambas bisectrices para obtener la segunda coordenada del incentro

2 Sustituimos el valor de la segunda coordenada del incentro en la ecuación de la primera bisectriz y despejamos para obtener la primera coordenada del incentro

la recta de Euler

1 Buscamos la recta que pasa por el ortocentro
, el baricentro
y el circuncentro 
2Calculamos la pendiente
para el ortocentro y el baricentro

La recta de Euler tiene pendiente
y pasa por el punto
. Calculamos su ecuación

Así, la ecuación de la recta de Euler es 
Verifica que el incentro no pertenece a la recta de Euler

1 Basta sustituir el incentro
en la ecuación de la recta de Euler y verificar que no la satisface]

Sustituimos

Como el incentro no satisface la ecuación de la recta de Euler, entonces concluimos que el incentro no se encuentra sobre la recta de Euler.









Apuntes es una plataforma dirigida al estudio y la práctica de las matemáticas a través de la teoría y ejercicios interactivos que ponemos a vuestra disposición. Esta información está disponible para todo aquel/aquella que quiera profundizar en el aprendizaje de esta ciencia. Será un placer ayudaros en caso de que tengáis dudas frente algún problema, sin embargo, no realizamos un ejercicio que nos presentéis de 0 sin que hayáis si quiera intentado resolverlo. Ánimo, todo esfuerzo tiene su recompensa.
8 Un rectángulo tiene un ancho de 3 unidades. El largo del rectángulo es 5 veces su ancho. ¿Cuál es el área del rectángulo?
45u²
unidades
El largo es
Ahora bien, su área es
hola
No,entiendo si estoy poniendo bien el resultado por que me dice que esta mal ? si,estoy poniendo el resultado que aparece en la solución ya lo corregi 5 veces esta mal copiado ? por favor me dicen cual es el problema
Hola tienes razón, tu resultado es correcto, pero en este momento estamos remodelando la pagina y corriendo errores así que pronto vamos a corregir este que mencionas.
Todo bien con los otros ejercicios pero no me fue posible realizar el 1 y 2
Hola estamos a tu disposición para cualquier duda, solo menciona de manera especifica donde te atoras y con gusto te ayudamos.
Hola, soy Clarisa Israel, Ingeniera en Construcciones. Entiendo que el Romboide es un cuadrilátero con caracteristicas especiales y su nombre indica que tiene un parecido con el Rombo. Ese parecido tiene que ver con que sus diagonales son perpendiculares, y se cortan en el punto medio de una de ellas pero no de la otra. De esa manera al unir los puntos, 2 de sus lados consecutivos resultan de igual longitud y los 2 restantes también tienen igual longitud pero distinta a la de los primeros. NO es un paralelogramo pues sus lados opuestos no son paralelos. Tiene la típica forma de un Barrilete.
El material del sitio me parece muy interesante!!
Espero consideren este comentario.
Atentamente
Hola muchas gracias por tu aportación, lo tomaremos en cuenta para mejorar en nuestro contenido.
Se cumple que BM = MC y AQ = QM con A – Q – M y B – M − C. Si a(ABQ) = 8 ul^2, determine el área del ∆ABC.
No me deja poner 45u²
Hola puedes hacernos el favor de decirnos el número de ejercicio para poder corregirlo.