Resuelve los siguientes problemas sobre semejanza de triángulos, si tiene dudas, se puede consultar la teoría aquí:
1 Calcular los lados del triángulo semejante

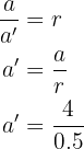
a Sea
triángulo con lados
,
,
y razón de proporcionalidad
, entonces los lados del triángulo semejante son:
Este campo es obligatorio.
Tenemos que los triángulos son semejantes debido a que sus lados son proporcionales con razón
, entonces
es decir, 
,.
Este campo es obligatorio.
imilarmente,
Este campo es obligatorio.
y finalmente
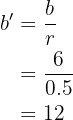
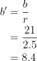
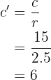
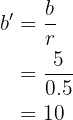
bSea
triángulo con lados
,
y
, entonces considerando una razón
tendríamos que los lados del triangulo semejante
son:
Este campo es obligatorio.
De la misma manera, tenemos que los triángulos son semejantes pero esta vez con
, por tanto

Este campo es obligatorio.
después,

Este campo es obligatorio.
y finalmente
2Los catetos de un triángulo rectángulo miden
y
. ¿Cuánto medirán los catetos de un triángulo rectángulo cuya hipotenusa mide
?


Este campo es obligatorio.
Primeramente calculamos la hipotenusa del primer triángulo rectángulo utilizando Pitágoras y luego calculamos los catetos del segundo a partir de la relación de semejanza.

Hipotenusa del triangulo 1:
de aquí tenemos que 
Con esta razón r
calculamos los catetos del triángulo 2:
y

3Sabemos que los perímetros de dos triángulos isósceles semejantes valen
y
y que el lado desigual del primero mide
. Calcular los lados de ambos triángulos y la razón de semejanza.


Este campo es obligatorio.
En primer lugar calculamos los lados del triángulo del que conocemos su lado desigual. Como el triángulo es isósceles tiene dos lados iguales, entonces


Este campo es obligatorio.
Como los triángulos son semejantes aplicamos la relación de semejanza

Este campo es obligatorio.
Al ser el triángulo isósceles a' y b' miden lo mismo y
y finalmente,
.
Este campo es obligatorio.
Para la razón
Sabiendo que el área del primer triángulo vale
calcular el área del segundo sin utilizar los lados del mismo
Área: 
Este campo es obligatorio.
Para calcular el área utilizamos la razón de semejanza con las áreas (la cual está al cuadrado):
Entonces

4 Calcular la altura de un edificio que proyecta una sombra de
a la misma hora que un poste de
de altura da una sombra de
.

Altura del edificio:
Este campo es obligatorio.
Dado que las sombras son proyectadas a la misma hora, supondremos semejanza para poder dar una solución. Así, dada la semejanza, tenemos la siguiente igualdad

despejando
obtenemos

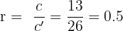
5 ¿Cuál es la razón de proporcionalidad de los siguientes triángulos? 
Razón:
Este campo es obligatorio.
Podemos tomar cualquier par de lados homólogos, por ejemplo, los lados b y b', y calculamos su razón
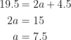
6 En la figura a continuación tendremos que
,
,
y

¿Cuánto mide
?
Este campo es obligatorio.
Notemos que para
tenemos que
¿Cuánto mide
?
Este campo es obligatorio.
hora bien, puesto que son triángulos semejantes tendremos que
entonces
¿Cuánto mide
?
Este campo es obligatorio.
Similarmente,
7 Sea
triangulo isósceles cuyo lado desigual mide
y sea
triangulo isósceles semejante cuyo lado desigual mide
y sus otros dos lados (que son iguales) miden 10 
¿Cuánto miden los lados faltantes de
?
Este campo es obligatorio.
Puesto que son triángulos semejantes tendremos que
entonces

Apuntes es una plataforma dirigida al estudio y la práctica de las matemáticas a través de la teoría y ejercicios interactivos que ponemos a vuestra disposición. Esta información está disponible para todo aquel/aquella que quiera profundizar en el aprendizaje de esta ciencia. Será un placer ayudaros en caso de que tengáis dudas frente algún problema, sin embargo, no realizamos un ejercicio que nos presentéis de 0 sin que hayáis si quiera intentado resolverlo. Ánimo, todo esfuerzo tiene su recompensa.
La respuesta de la pregunta de la número 8 es 45 unidades cuadradas y coloco 45 y sale en rojo no entiendo
Hola tu respuesta esta bien, disculpa por la respuesta estamos trabajando en ello.
8 un rectangulo tiene ancho 3 unidades.el largo del rectangulo es 5 vaces su ancho.
Cual es el area del rectangulo.
45 u2
Si, así es esa es la respuesta, estamos trabajando en ello.
8 Un rectángulo tiene un ancho de 3 unidades. El largo del rectángulo es 5 veces su ancho. ¿Cuál es el área del rectángulo?
45u²
unidades
El largo es
Ahora bien, su área es
hola
No,entiendo si estoy poniendo bien el resultado por que me dice que esta mal ? si,estoy poniendo el resultado que aparece en la solución ya lo corregi 5 veces esta mal copiado ? por favor me dicen cual es el problema
Hola tienes razón, tu resultado es correcto, pero en este momento estamos remodelando la pagina y corriendo errores así que pronto vamos a corregir este que mencionas.
Hola gracias por el aporte, estamos trabajando en ello, una disculpa.