El Teorema de Thales es un concepto fundamental en la geometría que nos ayuda a comprender las propiedades de las figuras geométricas y las relaciones entre sus elementos. Este teorema establece una poderosa conexión entre las líneas paralelas y los triángulos semejantes, y su aplicación se extiende a una amplia variedad de problemas geométricos.
En los siguientes ejercicios, exploraremos cómo aplicar el Teorema de Thales para resolver problemas prácticos y demostrar sus propiedades en situaciones del mundo real. A través de estos ejercicios, desarrollaremos una comprensión más profunda de este importante teorema y su relevancia en la resolución de problemas geométricos cotidianos.
¡Vamos a comenzar a explorar el fascinante mundo de Thales!
Resuelve los siguientes ejercicios del teorema de Thales eligiendo la respuesta correcta:
Para poder aplicar el teorema de Thales necesitamos...
Selecciona una respuesta.
Una de las aplicaciones del teorema de Thales es...
Selecciona una respuesta.
Podemos aplicar el teorema de Thales en triángulos cuando...
Selecciona una respuesta.
El teorema de Thales dice que si varias rectas paralelas son cortadas por dos secantes, los segmentos correspondientes determinados por las secantes son...
Selecciona una respuesta.
Dos triángulos satisfacen Thales cuando...
Selecciona una respuesta.
Si dos triángulos tienen sus lados paralelos, entonces por el teorema de Thales los dos triángulos son...
Selecciona una respuesta.
Por el teorema de Thales, dos triángulos rectángulos son semejantes cuando...
Selecciona una respuesta.
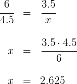
Sabiendo que las rectas
,
y
son paralelas, la longitud de
es

Selecciona una respuesta.
son paralelas, estamos en las condiciones del teorema de Thales, por lo que podemos aplicarlo:
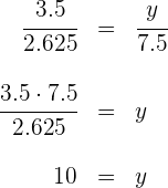
Sabiendo que las rectas
,
y
son paralelas, las longitudes que faltan son:

Selecciona una respuesta.
Como
son paralelas, estamos en las condiciones del teorema de Thales, por lo que podemos aplicarlo: 

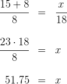
Sean
y
dos rectas cualesquiera y
y
dos rectas que las cortan. Si los segmentos que determinan
y
son
,
,
y
entonces...
Selecciona una respuesta.
No se verifica el teorema de Thales, por lo que las rectas
y
no son paralelas.Sean
y
dos rectas cualesquiera y
y
dos rectas que las cortan. Si los segmentos que determinan
y
son
,
,
y
entonces...
Selecciona una respuesta.
Comprobamos si se cumple el teorema de Thales:
Se verifica el teorema de Thales, por lo que las rectas
y
son paralelas.
Sabiendo que el segmento
es paralelo a la base del triángulo, las medidas de los segmentos
y
son...
Selecciona una respuesta.
En primer lugar,
, basta hacer
.

A continuación aplicamos el teorema de Thales:

Sabiendo que los segmentos que miden 3 cm y 4 cm son paralelos, calcular
y
.

Selecciona una respuesta.
y los lados que miden 3 y 4 cm son paralelos. Aplicamos el teorema de Thales:
Desarrollamos la ecuación conformada por la primera y última parte, y despejamos
De la última igualdad despejamos

Si llamamos
a la altura de los libros aplicando el teorema de Thales,

cm
Este campo es obligatorio.
a la altura de los libros y aplicamos Thales
Observando la escalera que aparece en el dibujo calcula la longitud de la cuerda que une los peldaños de la escalera con su parte posterior.

cm
Este campo es obligatorio.
a la longitud de la cuerda y aplicamos Thales 
Si tienes dudas puedes consultar la teoría

Apuntes es una plataforma dirigida al estudio y la práctica de las matemáticas a través de la teoría y ejercicios interactivos que ponemos a vuestra disposición. Esta información está disponible para todo aquel/aquella que quiera profundizar en el aprendizaje de esta ciencia. Será un placer ayudaros en caso de que tengáis dudas frente algún problema, sin embargo, no realizamos un ejercicio que nos presentéis de 0 sin que hayáis si quiera intentado resolverlo. Ánimo, todo esfuerzo tiene su recompensa.
8 un rectangulo tiene ancho 3 unidades.el largo del rectangulo es 5 vaces su ancho.
Cual es el area del rectangulo.
45 u2
8 Un rectángulo tiene un ancho de 3 unidades. El largo del rectángulo es 5 veces su ancho. ¿Cuál es el área del rectángulo?
45u²
unidades
El largo es
Ahora bien, su área es
hola
No,entiendo si estoy poniendo bien el resultado por que me dice que esta mal ? si,estoy poniendo el resultado que aparece en la solución ya lo corregi 5 veces esta mal copiado ? por favor me dicen cual es el problema
Hola tienes razón, tu resultado es correcto, pero en este momento estamos remodelando la pagina y corriendo errores así que pronto vamos a corregir este que mencionas.
Todo bien con los otros ejercicios pero no me fue posible realizar el 1 y 2
Hola estamos a tu disposición para cualquier duda, solo menciona de manera especifica donde te atoras y con gusto te ayudamos.
Hola, soy Clarisa Israel, Ingeniera en Construcciones. Entiendo que el Romboide es un cuadrilátero con caracteristicas especiales y su nombre indica que tiene un parecido con el Rombo. Ese parecido tiene que ver con que sus diagonales son perpendiculares, y se cortan en el punto medio de una de ellas pero no de la otra. De esa manera al unir los puntos, 2 de sus lados consecutivos resultan de igual longitud y los 2 restantes también tienen igual longitud pero distinta a la de los primeros. NO es un paralelogramo pues sus lados opuestos no son paralelos. Tiene la típica forma de un Barrilete.
El material del sitio me parece muy interesante!!
Espero consideren este comentario.
Atentamente
Hola muchas gracias por tu aportación, lo tomaremos en cuenta para mejorar en nuestro contenido.
Se cumple que BM = MC y AQ = QM con A – Q – M y B – M − C. Si a(ABQ) = 8 ul^2, determine el área del ∆ABC.