Resuelve los siguientes problemas
Un rectángulo mide
de largo por
de ancho. ¿Cuál es el perímetro y el área de otro semejante cuyos lados miden el doble?
Este campo es obligatorio.
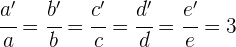
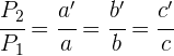
1Sabemos que dos polígonos son proporcionales si sus lados homólogos son proporcionales

2Igualamos la primera y la última expresión 
3Despejamos y obtenemos
4Igualamos la segunda y la última expresión
5Despejamos y obtenemos 
6Calculamos el perímetro 
7Calculamos el área

Un polígono de cinco lados es semejante a otro segundo polígono cuyos lados miden el triple. ¿Cuál es el cociente del perímetro del segundo polígono y su semejante?
Este campo es obligatorio.
1Denotamos los lados del primer polígono por
. Luego el perímetro del primer polígono es

2Representamos los lados del segundo polígono por
. Como los polígonos son semejantes se tiene 
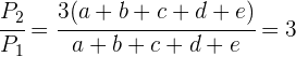
3Luego el perímetro de la segunda figura es: 
4El cociente del perímetro de ambas figuras es 
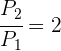
Dos rectángulos semejantes tienen áreas de
y
. ¿Cuál es el cociente de sus perímetros?
Este campo es obligatorio.
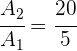
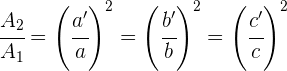
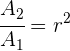
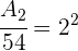
1Calculamos el cociente de las áreas

2El cociente de las áreas de polígonos semejantes es igual al cuadrado de la razón de sus lados (
y
los lados de los triángulos de áreas
y
respectivamente) 
3Luego razón de semenjanza es 
4El cociente de los perímetros de polígonos semejantes es igual a la razón de sus lados 
5Así el cociente de sus perímetros es 
6En caso de elegir de forma
y
los lados de los triángulos de áreas
y
respectivamente, el cociente de sus perímetros es

Pedro dice que todos lo triángulos rectángulos son semejantes entre si. ¿Es cierta la afirmación de Pedro?
Este campo es obligatorio.
1Consideramos un triángulo rectángulo de catetos
y
e hipotenusa 

2Consideramos un segundo triángulo rectángulo de catetos
y
e hipotenusa 

3Revisamos si los lados son proporcionales 
4Como
, tenemos que
. Luego las figuras no son semejantes
5Así concluimos que no todos los triangulos rectángulos son semejantes.
¿Son semejantes estas figuras?

Este campo es obligatorio.
1Los ángulos de ambos paralelogramos son homólogos, ya que dos de ellos miden
en las dos figuras y los otros dos miden
(ya que los ángulos interiores de un paralelogramo miden
)
2Veamos con respecto a los lados lo que ocurre, es decir hay que ver si los lados homólogos son o no proporcionales: 
3Como
, tenemos que
. Luego las figuras no son semejantes.
Las siguientes figuras son semejantes. Si el área de la primera es de
y dos de sus lados semejantes son
y
. ¿Cuál es el área de la segunda figura?


Este campo es obligatorio.
1Como las figuras son semejantes, sus lados son proporcionales

2Como las figuras son semejantes, el cociente de sus áreas es igual al cuadrado de su razón de semejanza 
3Sustituimos el valor del área de la primera figura y la razón de semejanza 
4Despejando obtenemos que el área de la segunda figura es

Si tienes dudas puedes consultar la teoría

Apuntes es una plataforma dirigida al estudio y la práctica de las matemáticas a través de la teoría y ejercicios interactivos que ponemos a vuestra disposición. Esta información está disponible para todo aquel/aquella que quiera profundizar en el aprendizaje de esta ciencia. Será un placer ayudaros en caso de que tengáis dudas frente algún problema, sin embargo, no realizamos un ejercicio que nos presentéis de 0 sin que hayáis si quiera intentado resolverlo. Ánimo, todo esfuerzo tiene su recompensa.
8 un rectangulo tiene ancho 3 unidades.el largo del rectangulo es 5 vaces su ancho.
Cual es el area del rectangulo.
45 u2
8 Un rectángulo tiene un ancho de 3 unidades. El largo del rectángulo es 5 veces su ancho. ¿Cuál es el área del rectángulo?
45u²
unidades
El largo es
Ahora bien, su área es
hola
No,entiendo si estoy poniendo bien el resultado por que me dice que esta mal ? si,estoy poniendo el resultado que aparece en la solución ya lo corregi 5 veces esta mal copiado ? por favor me dicen cual es el problema
Hola tienes razón, tu resultado es correcto, pero en este momento estamos remodelando la pagina y corriendo errores así que pronto vamos a corregir este que mencionas.
Todo bien con los otros ejercicios pero no me fue posible realizar el 1 y 2
Hola estamos a tu disposición para cualquier duda, solo menciona de manera especifica donde te atoras y con gusto te ayudamos.
Hola, soy Clarisa Israel, Ingeniera en Construcciones. Entiendo que el Romboide es un cuadrilátero con caracteristicas especiales y su nombre indica que tiene un parecido con el Rombo. Ese parecido tiene que ver con que sus diagonales son perpendiculares, y se cortan en el punto medio de una de ellas pero no de la otra. De esa manera al unir los puntos, 2 de sus lados consecutivos resultan de igual longitud y los 2 restantes también tienen igual longitud pero distinta a la de los primeros. NO es un paralelogramo pues sus lados opuestos no son paralelos. Tiene la típica forma de un Barrilete.
El material del sitio me parece muy interesante!!
Espero consideren este comentario.
Atentamente
Hola muchas gracias por tu aportación, lo tomaremos en cuenta para mejorar en nuestro contenido.
Se cumple que BM = MC y AQ = QM con A – Q – M y B – M − C. Si a(ABQ) = 8 ul^2, determine el área del ∆ABC.