Resuelve los siguientes problemas
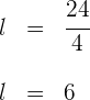
Calcula la diagonal del cuadrado sabiendo que su lado mide
.


Este campo es obligatorio.
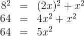
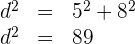
1 La diagonal del cuadrado forma un triángulo rectángulo con los lados del cuadrado, por lo que podemos aplicar el teorema de Pitágoras

2 Como los lados del cuadrado miden
, obtenemos

3 Calculamos la raiz cuadrada

La diagonal del cuadrado mide 
Calcula la diagonal de un cuadrado cuya área vale
. Redondea a dos cifras decimales.
.
Este campo es obligatorio.
1A partir del área podemos calcular el lado del cuadrado

Calculamos la raiz cuadrada

2Aplicamos el teorema de Pitágoras para obtener la diagonal.

3 Como los lados del cuadrado miden
, obtenemos

Calculamos la raiz cuadrada

La diagonal del cuadrado mide 
Calcula la diagonal de un cuadrado cuyo perímetro vale
. Redondea a dos cifras decimales.
.
Este campo es obligatorio.
1A partir del perímetro podemos calcular el lado del cuadrado

Despejamos para obtener el valor del lado del cuadrado

2Aplicamos el teorema de Pitágoras para obtener la diagonal.

3 Como los lados del cuadrado miden
, obtenemos

Calculamos la raiz cuadrada

La diagonal del cuadrado mide 
La puerta de una habitación tiene el doble de alto que de ancho, calcular sus dimensiones sabiendo que la diagonal de la puerta mide
. Redondea a dos cifras decimales cuando sea necesario.

Ancho = 
Altura = 
Este campo es obligatorio.
1Llamamos al ancho de la puerta
, como la diagonal de la misma forma un triángulo rectángulo con los lados del rectángulo podemos aplicar el teorema de Pitágoras

2Despejamos para obtener el valor del ancho del rectángulo

3 La altura es igual a 
Calcula la diagonal del rectángulo sabiendo que su ancho es
y su altura es
.

Este campo es obligatorio.
1Como la diagonal del ectángulo forma un triángulo rectángulo con sus lados, podemos aplicar el teorema de Pitágoras

2 Calculamos la raiz cuadrada

La diagonal del rectángulo mide 
Calcula la diagonal de un rectángulo cuya área vale
y su ancho es el triple de su altura. Redondea a dos cifras decimales.
.
Este campo es obligatorio.
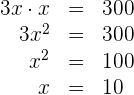
1Llamamos
a la altura del rectángulo, luego
representa su ancho
2A partir del área obtenemos

Luego, la altura del rectángulo es
y su ancho es de 
3Aplicamos el teorema de Pitágoras para obtener la diagonal.

Calculamos la raiz cuadrada

La diagonal del rectángulo mide 
Si tienes dudas puedes consultar la teoría

Apuntes es una plataforma dirigida al estudio y la práctica de las matemáticas a través de la teoría y ejercicios interactivos que ponemos a vuestra disposición. Esta información está disponible para todo aquel/aquella que quiera profundizar en el aprendizaje de esta ciencia. Será un placer ayudaros en caso de que tengáis dudas frente algún problema, sin embargo, no realizamos un ejercicio que nos presentéis de 0 sin que hayáis si quiera intentado resolverlo. Ánimo, todo esfuerzo tiene su recompensa.
8 un rectangulo tiene ancho 3 unidades.el largo del rectangulo es 5 vaces su ancho.
Cual es el area del rectangulo.
45 u2
8 Un rectángulo tiene un ancho de 3 unidades. El largo del rectángulo es 5 veces su ancho. ¿Cuál es el área del rectángulo?
45u²
unidades
El largo es
Ahora bien, su área es
hola
No,entiendo si estoy poniendo bien el resultado por que me dice que esta mal ? si,estoy poniendo el resultado que aparece en la solución ya lo corregi 5 veces esta mal copiado ? por favor me dicen cual es el problema
Hola tienes razón, tu resultado es correcto, pero en este momento estamos remodelando la pagina y corriendo errores así que pronto vamos a corregir este que mencionas.
Todo bien con los otros ejercicios pero no me fue posible realizar el 1 y 2
Hola estamos a tu disposición para cualquier duda, solo menciona de manera especifica donde te atoras y con gusto te ayudamos.
Hola, soy Clarisa Israel, Ingeniera en Construcciones. Entiendo que el Romboide es un cuadrilátero con caracteristicas especiales y su nombre indica que tiene un parecido con el Rombo. Ese parecido tiene que ver con que sus diagonales son perpendiculares, y se cortan en el punto medio de una de ellas pero no de la otra. De esa manera al unir los puntos, 2 de sus lados consecutivos resultan de igual longitud y los 2 restantes también tienen igual longitud pero distinta a la de los primeros. NO es un paralelogramo pues sus lados opuestos no son paralelos. Tiene la típica forma de un Barrilete.
El material del sitio me parece muy interesante!!
Espero consideren este comentario.
Atentamente
Hola muchas gracias por tu aportación, lo tomaremos en cuenta para mejorar en nuestro contenido.
Se cumple que BM = MC y AQ = QM con A – Q – M y B – M − C. Si a(ABQ) = 8 ul^2, determine el área del ∆ABC.