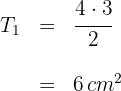
Calcular el área de la figura formada por un cuadrado y un triángulo equilátero de lado 

1 Calculamos el área
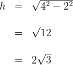
del triángulo. Como el triángulo es equilátero, entonces la altura divide en dos triángulos rectángulos iguales. Aplicando el teorema de Pitágoras encontramos la altura

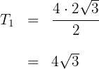
Luego el área del triángulo equilátero es igual a la mitad del producto de su base y su altura

2 Calculamos el área
del cuadrado. Como un lado del cuadrado coincide con un lado del triángulo equilátero, entonces el cuadrado tiene lado
. El área de un cuadrado es igual al cuadrado de uno de sus lados

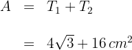
3 El área solicitada es igual a la suma de las áreas del triángulo y del cuadrado

Calcular el área del polígono regular de lado
y apotema 

1 Para calcular el área empleamos la fórmula para polígonos regulares, la cual es igual a la mitad del producto del perímetro por su apotema

2 Calculamos el perímetro

3 El área solicitada es

Calcular el área del polígono regular de lado
y la distancia del centro a uno de sus vértices es 

1 Para calcular el área empleamos la fórmula para polígonos regulares, la cual es igual a la mitad del producto del perímetro por su apotema

2 Calculamos el perímetro

3 No tenemos el apotema, por lo que trazamos un segmento auxiliar del centro al punto medio de uno de sus lados y obtenemos un triángulo rectángulo, cuya altura es igual al apotema

Calculamos el apotema empleando el teorema de Pitágoras

4 El área solicitada es

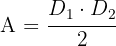
Calcular el área del cuadrado cuya diagonal es 

1 Para calcular el área podemos visualizar el cuadrado como un rombo cuyas dos diagonales son iguales

2 El área es igual a la mitad del producto de las diagonales

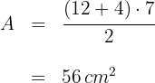
Calcular el área del trapecio que se forma al añadir dos triángulos equiláteros al hexágono regular de lado
y apotema 

1 Para calcular el área empleamos la fórmula del trapecio, la cual es igual a la mitad del producto de la suma de sus bases por su altura

2 La base mayor es igual a tres veces el lado del hexágono, esto es,
, la base menor es igual
y la altura es igual a dos veces el apotema, es decir,
.
3 El área solicitada es

Calcular el área de un paralelogramo de base
y altura 

1 Para calcular el área empleamos la fórmula del paralelogramo, la cual es igual al producto de su base por su altura

2 El área solicitada es

Calcular el área del del siguiente cuadrilátero cuyas diagonales miden
y son perpendiculares entre si

1 Como las diagonales del cuadrilátero son perpendiculares entre si, el área es igual a la mitad del producto de sus diagonales

2 El área solicitada es

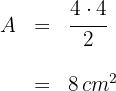
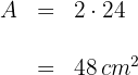
Calcular el área de la figura formada por un cuadrado de lado
y dos triángulos iguales cuya separación entre dos de sus vértices es 

1 Calculamos el área
de uno de los triángulos. Si consideramos como base el lado del cuadrado, entonces las alturas de ambos triángulos más un lado del cuadrado es igual a
; así la altura de cada triángulo es de 

Luego el área del triángulo es igual a la mitad del producto de su base y su altura

2 Calculamos el área
del cuadrado, el cual es igual al cuadrado de uno de sus lados

3 El área solicitada es igual a la suma de las áreas de los dos triángulo y del cuadrado

Calcular el área de la figura formada por un hexágono regular de área
y seis triángulos equiláteros iguales en cada uno de los lados del hexágono

1 Como se conoce el área del hexágono, solamente falta encontrar el área de un triángulo equilátero.
2 Triangulamos el hexágono

Notamos que el el hexágono se divide en seis triángulos equiláteros iguales, los cuales coinciden con los triángulos equiláteros externos, ya que tienen un lado en común.
3 El área solicitada es igual al doble del área del hexágono

Calcular el área de un rehilete donde el cuadrado tiene por lado
y la altura de cada triángulo es igual a
partes del lado del cuadrado

1 El área
del cuadrado es igual al cuadrado de su lado

2 La altura de cada lado es igual a
partes del lado del cuadrado

3 El área
del triángulo es igual a la mitad del producto de su base por su altura

4 El área solicitada es


Apuntes es una plataforma dirigida al estudio y la práctica de las matemáticas a través de la teoría y ejercicios interactivos que ponemos a vuestra disposición. Esta información está disponible para todo aquel/aquella que quiera profundizar en el aprendizaje de esta ciencia. Será un placer ayudaros en caso de que tengáis dudas frente algún problema, sin embargo, no realizamos un ejercicio que nos presentéis de 0 sin que hayáis si quiera intentado resolverlo. Ánimo, todo esfuerzo tiene su recompensa.
8 Un rectángulo tiene un ancho de 3 unidades. El largo del rectángulo es 5 veces su ancho. ¿Cuál es el área del rectángulo?
45u²
unidades
El largo es
Ahora bien, su área es
hola
No,entiendo si estoy poniendo bien el resultado por que me dice que esta mal ? si,estoy poniendo el resultado que aparece en la solución ya lo corregi 5 veces esta mal copiado ? por favor me dicen cual es el problema
Hola tienes razón, tu resultado es correcto, pero en este momento estamos remodelando la pagina y corriendo errores así que pronto vamos a corregir este que mencionas.
Todo bien con los otros ejercicios pero no me fue posible realizar el 1 y 2
Hola estamos a tu disposición para cualquier duda, solo menciona de manera especifica donde te atoras y con gusto te ayudamos.
Hola, soy Clarisa Israel, Ingeniera en Construcciones. Entiendo que el Romboide es un cuadrilátero con caracteristicas especiales y su nombre indica que tiene un parecido con el Rombo. Ese parecido tiene que ver con que sus diagonales son perpendiculares, y se cortan en el punto medio de una de ellas pero no de la otra. De esa manera al unir los puntos, 2 de sus lados consecutivos resultan de igual longitud y los 2 restantes también tienen igual longitud pero distinta a la de los primeros. NO es un paralelogramo pues sus lados opuestos no son paralelos. Tiene la típica forma de un Barrilete.
El material del sitio me parece muy interesante!!
Espero consideren este comentario.
Atentamente
Hola muchas gracias por tu aportación, lo tomaremos en cuenta para mejorar en nuestro contenido.
Se cumple que BM = MC y AQ = QM con A – Q – M y B – M − C. Si a(ABQ) = 8 ul^2, determine el área del ∆ABC.
No me deja poner 45u²
Hola puedes hacernos el favor de decirnos el número de ejercicio para poder corregirlo.