Si
y
son derivables en
, la función es:
Convexa
Si 
Cóncava
Si 
Criterio de concavidad y convexidad
Hemos tomado el criterio de que el valle tiene forma convexa y la montaña forma cóncava.
Pero esta definición que damos no sólo alude a un criterio visual que puede ser confuso desde el punto de vista del observador, sino que podemos dar una definición más precisa:
Una función es cóncava en un intervalo de su dominio cuando:
Dados dos puntos cualesquiera de dicho intervalo
y
, el segmento que une los puntos
y
siempre queda por debajo de la gráfica.

Una función es convexa en un intervalo de su dominio cuando:
Dados dos puntos cualesquiera de dicho intervalo
y
, el segmento que une los puntos
y
siempre queda por encima de la gráfica.

Intervalos de concavidad y convexidad
Para calcular los intervalos la concavidad y convexidad de una función seguiremos los siguientes pasos:
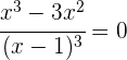
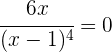
1 Hallamos la derivada segunda y calculamos sus raíces.
2 Formamos intervalos abiertos con los ceros (raíces) de la derivada segunda y los puntos de discontinuidad (si los hubiese).
3 Tomamos un valor de cada intervalo, y hallamos el signo que tiene en la derivada segunda.
Si
es convexa.
Si
es cóncava.
4 Escribimos los intervalos.
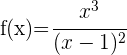
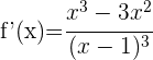
Ejemplo

Calculamos el dominio




Convexa: 
Cóncava: 

Resumir con IA:









Apuntes es una plataforma dirigida al estudio y la práctica de las matemáticas a través de la teoría y ejercicios interactivos que ponemos a vuestra disposición. Esta información está disponible para todo aquel/aquella que quiera profundizar en el aprendizaje de esta ciencia. Será un placer ayudaros en caso de que tengáis dudas frente algún problema, sin embargo, no realizamos un ejercicio que nos presentéis de 0 sin que hayáis si quiera intentado resolverlo. Ánimo, todo esfuerzo tiene su recompensa.
Felicitaciones, muy interesantes los problemas y sobretodo las gráficas. ¿Pueden indicarme que programa utilizan?
Hola te agradecemos tu comentario, si te refieres a graficar te recomendamos geogebra, symbolat y otros mas.
Cual es un buen graficador de funciones con cuadricula en el fondo y ejes coordenados para graficar funciones.He visto uno elaborado por Mariluna Saldivar Pat titulado «¿Que es una funcion lineal? pero no se con que programa hizo el dibujo
Hola en internet esta geogebra y simbolab que son los que yo uso, creo que si preguntas en el buscador te recomiendan otros muy buenos, los que mencione antes trabajo muy bien con ellos y los recomiendo.
Me ayudarian hacer la funcion lineal con grafico
Y=2×+1
Hola agradecemos tu observación, podrías mencionar que ejercicio es el que tiene el error para poder rectificarlo nos seria de mucha ayuda.
hola soy profesor de scundaria y es =-13
Hola con gusto lo haremos, pero podrías señalar en que ejercicio quieres que lo hagamos, para poder ayudarte.