Capítulos
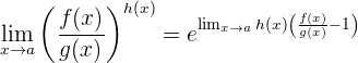
El objetivo de esta sección es encontrar el límite de funciones que se indeterminan de la forma
.
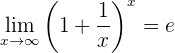
Recordemos que el número de euler
es el valor a quien converge el siguiente límite:

Mostraremos dos métodos para resolver los límites mencionados.
Primer método de resolución de la indeterminación
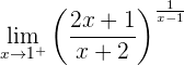
La idea es resolver el siguiente límite usando el resultado anterior y cierto proceso.

1 Para comenzar notemos que el límite se indetermina de la forma
, es decir, por un lado queda

y por otro lado

llegando a que la indeterminación es de la forma siguiente: 
2 Para quitar esta indeterminación, a la base le sumamos y restamos
. Esto no altera el valor del límite, pues estamos sumando un cero.

3 Ponemos al mismo común denominador en los dos últimos sumandos y reducimos la
expresión:

recordando que

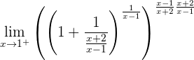
4 En el segundo, sumando, realizamos el inverso del inverso.

5 Elevamos al denominador y a su inverso

6 Si hacemos

,
recordando que

y reducimos y reordenamos

notamos que:

7 Usando la igualdad vista al inicio tendremos que

Así, hemos logrado encontrar el límite deseado.
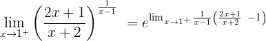
Segundo método de resolución de la indeterminación
En este segundo método usaremos la siguiente igualdad:

1 Notemos que el limite
se indetermina de la forma
.
2 Usando la igualdad vista previamente con



tenemos:

3 Poniendo al mismo común denominador tenemos:

4 Resolvemos la resta en el exponente y así tenemos lo siguiente:

5 Eliminado el factor común del numerador y denominador tendremos:

6 Así, resolviendo el límite en el exponente tenemos:

Con lo cual hemos sorteado la indeterminación.

Apuntes es una plataforma dirigida al estudio y la práctica de las matemáticas a través de la teoría y ejercicios interactivos que ponemos a vuestra disposición. Esta información está disponible para todo aquel/aquella que quiera profundizar en el aprendizaje de esta ciencia. Será un placer ayudaros en caso de que tengáis dudas frente algún problema, sin embargo, no realizamos un ejercicio que nos presentéis de 0 sin que hayáis si quiera intentado resolverlo. Ánimo, todo esfuerzo tiene su recompensa.
Me ayudarian hacer la funcion lineal con grafico
Y=2×+1
La primera derivada se anula en x = 3. Por lo tanto 3 es otro punto crítico de la función del ejemplo.
Hola gracias por la observación, podrías hacernos el favor de mostrarnos la función que se deriva y se encuentran los puntos críticos.
El Punto de inflexión en el ejercicio 2: f(x) = x^3 + x + 1 debe ser (0, 1)
Hola agradecemos tu comentario, tenias razón era un error que ya se corrigió.
la grafica esta mal echa de signos de cada cuadrante
Hola te agradecemos por visitar nuestra pagina, podrías mencionar el número de ejercicio para poder rectificar esos errores que mencionas.
Se podría añadir un poco más de explicación a por que se hace cada paso ( ejemplo porque se divide todo por x ^2?)
Hola agradecemos que puedas darnos tu opinión, cuando surja una duda en este espacio de los comentarios estaremos atentos para darte una explicación con respecto a algo que no entiendas, exista un error o se pueda mejorar una explicación, solo comunícalo y te contestaremos.