A continuación veremos un par de ejercicios resueltos, respecto a las ramas parabólicas de diversas

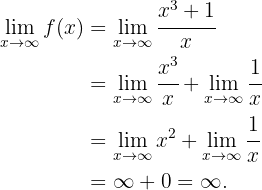
Calcularemos el limite de la función cuando
tiende al infinito,

Similarmente, calculamos el limite

Obteniendo

Por tanto, podemos concluir que
tiene una rama parabólica en la dirección del eje OY. Gráficamente se ve de la siguiente forma,


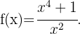
Calcularemos el limite de la función cuando
tiende al infinito,

También, calculamos el limite

Obteniendo que

Por lo que, podemos concluir que
tiene una rama parabólica en la dirección del eje OX. Gráficamente se ve de la siguiente forma,


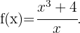
Calcularemos el limite de la función cuando
tiende al infinito,


También, calculamos el limite

Obteniendo que


Por lo que, podemos concluir que
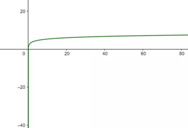
tiene dos ramas parabólica en el sentido del eje OY. Gráficamente se ve de la siguiente forma,


Notemos que


También tenemos que


Por lo que, podemos concluir que
tiene dos ramas parabólica en el sentido del eje OY. Gráficamente se ve de la siguiente forma,


Notemos que


También observemos que


Es decir, tiene dos rama parabólicas en el sentido del eje OY. Gráficamente se ve de la siguiente forma,


Calcularemos el limite de la función cuando
tiende al infinito,

Ahora, estudiando
nos queda:

Estudiando ahora en menos infinito nos queda:

Es decir, tiene dos rama parabólicas en el sentido del eje OY. Gráficamente se ve de la siguiente forma,


Calcularemos el limite de la función cuando
tiende al infinito,

Ahora, estudiando
nos queda:

Es decir, tiene una rama parabólica en la dirección del eje OX. Gráficamente se ve de la siguiente forma,


Calcularemos el limite de la función cuando
tiende al infinito,

Ahora, estudiando
nos queda:

Estudiando ahora en menos infinito nos queda:

Es decir, tiene dos rama parabólicas en el sentido del eje OY.

Calcularemos el limite de la función cuando
tiende al infinito,

Ahora, estudiando
nos queda:

Por lo que, podemos concluir que
tiene una rama parabólica en la dirección del eje OY.

Calcularemos el limite de la función cuando
tiende al infinito,

Ahora, estudiando
nos queda:

Por lo que, podemos concluir que
tiene una rama parabólica en la dirección del eje OY.
Resumir con IA:

Apuntes es una plataforma dirigida al estudio y la práctica de las matemáticas a través de la teoría y ejercicios interactivos que ponemos a vuestra disposición. Esta información está disponible para todo aquel/aquella que quiera profundizar en el aprendizaje de esta ciencia. Será un placer ayudaros en caso de que tengáis dudas frente algún problema, sin embargo, no realizamos un ejercicio que nos presentéis de 0 sin que hayáis si quiera intentado resolverlo. Ánimo, todo esfuerzo tiene su recompensa.
Felicitaciones, muy interesantes los problemas y sobretodo las gráficas. ¿Pueden indicarme que programa utilizan?
Hola te agradecemos tu comentario, si te refieres a graficar te recomendamos geogebra, symbolat y otros mas.
Cual es un buen graficador de funciones con cuadricula en el fondo y ejes coordenados para graficar funciones.He visto uno elaborado por Mariluna Saldivar Pat titulado «¿Que es una funcion lineal? pero no se con que programa hizo el dibujo
Hola en internet esta geogebra y simbolab que son los que yo uso, creo que si preguntas en el buscador te recomiendan otros muy buenos, los que mencione antes trabajo muy bien con ellos y los recomiendo.
Me ayudarian hacer la funcion lineal con grafico
Y=2×+1
Hola agradecemos tu observación, podrías mencionar que ejercicio es el que tiene el error para poder rectificarlo nos seria de mucha ayuda.
hola soy profesor de scundaria y es =-13
Hola con gusto lo haremos, pero podrías señalar en que ejercicio quieres que lo hagamos, para poder ayudarte.