Capítulos
La recta tangente es un concepto fundamental en cálculo diferencial, ya que describe la pendiente de una curva en un punto específico. Al estudiar este concepto, se busca encontrar la ecuación de la recta que toca a la curva en un único punto, sin cortarla, representando así la dirección de la curva en ese instante.
Los ejercicios resueltos que se presentan a continuación tienen como objetivo guiarte paso a paso en la comprensión y aplicación de las técnicas necesarias para hallar la recta tangente a una curva dada.
Hallar los puntos de tangencia
Dada la parábola
, hallar los puntos en los que la recta tangente es paralela a la bisectriz del primer cuadrante.
La bisectriz del primer cuadrante tiene de ecuación
, por tanto
.
Derivamos la ecuación de la parábola, pues sabemos que la derivada nos indica la pendiente

e igualamos a
y despejamos para calcular el valor de x en el que ocurre esto

Evaluamos la función original en este punto 

Entonces

Dada la parábola
, hallar los puntos en los que la recta tangente es paralela a la bisectriz del segundo cuadrante.
La bisectriz del primer cuadrante tiene de ecuación
, por tanto
.
Derivamos la ecuación de la parábola, pues sabemos que la derivada nos indica la pendiente

e igualamos a
y despejamos para calcular el valor de x en el que ocurre esto

Evaluamos la función original en este punto 

Entonces

Dada la parábola
, hallar los puntos en los que la recta tangente es paralela a la recta
.
La pendiente de la recta
es
.
Derivamos la ecuación de la parábola, pues sabemos que la derivada nos indica la pendiente

e igualamos a
y despejamos para calcular el valor de x en el que ocurre esto

Evaluamos la función original en este punto 

Entonces

Dada la parábola
, hallar los puntos en los que la recta tangente es paralela a la recta
.
La pendiente de la recta
es
.
Derivamos la ecuación de la parábola, pues sabemos que la derivada nos indica la pendiente

e igualamos a
y despejamos para calcular el valor de x en el que ocurre esto

Evaluamos la función original en este punto 

Entonces

Dada la parábola
, hallar los puntos en los que la recta tangente es paralela a la recta
.
La pendiente de la recta
es
.
Derivamos la ecuación de la parábola, pues sabemos que la derivada nos indica la pendiente

e igualamos a
y despejamos para calcular el valor de x en el que ocurre esto

Evaluamos la función original en este punto 

Entonces

Dada la curva de ecuación
, halla las coordenadas de los puntos de dicha curva en los que la tangente forma con el eje
un ángulo de 
Lo primero que debemos saber es que la pendiente de una recta es igual a la tangente del ángulo que forma con el eje 
Es decir 

La derivada de
nos indica la pendiente de la recta tangente

Como quiero que la recta tangente forme
con el eje
, estoy pidiendo que la pendiente tenga el valor de 

Entonces,

Despejamos


Al obtener el valor de x hemos obtenido la abscisa. Para obtener el valor de la ordenada, evaluamos el punto
en la función original

Finalmente

Calcular los puntos en que la tangente a la curva
es paralela al eje 
Las rectas paralelas tienen la misma pendiente. El eje
tiene pendiente cero.Entonces quiero que la tangente a la curva tenga pendiente cero. Así que quiero que


Simplificando obtenemos la ecuación

Resolvemos, y evaluamos las soluciones en la función 


Finalmente los puntos donde la tangente a la curva es paralela al eje
son:


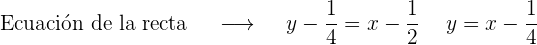
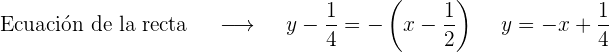
Se ha trazado una recta tangente a la curva
, cuya pendiente es
y pasa por el punto
. Hallar el punto de tangencia.
La derivada nos da la pendiente de la recta tangente a la curva

El problema dice que esta pendiente es
, entonces

Resolvemos

Obtenemos la ecuación de la recta tangente en estos puntos
1 Abscisa x=1




2 Abscisa x=-1




Pero el punto
sólo pertenece a la recta
.
Por tanto el punto de tangencia será
.
Buscar los puntos de la curva
, para los cuales la tangente forma un ángulo de
con 
1Obtener abscisas
Recordemos que la pendiente de una recta es igual a la tangente del ángulo que forma con el eje 
Es decir 
La derivada de
nos indica la pendiente de la recta tangente

Como quiero que la recta tangente forme
con el eje
, estoy pidiendo que la pendiente tenga el valor de 

Entonces,

Despejamos

Factorizamos una x

Una solución es

Las otras soluciones se obtienen cuando



2Obtener ordenadas
Evaluamos los puntos en la función original 



Finalmente

¿En qué punto de la curva
, la tangente es paralela a la cuerda que une los puntos (1, 0) y (e, 1)?
La pendiente de la cuerda tiene que ser igual a la derivada de la función.


Entonces,

Evaluamos este punto en
para obtener la ordenada

Finalmente

Calcula la ecuación de la recta
Calcular la ecuación de la tangente a la curva
en el punto de abscisa: 
Obtener pendiente
Derivamos la función, pues sabemos que la derivada nos indica la pendiente de la recta tangente

Evaluamos en 

Obtener las coordenadas del punto de tangencia

Evaluamos la función original en este punto
para obtener la ordenada

Obtener la ecuación de la recta tangente



Calcular la ecuación de la normal a la curva
en el punto de abscisa: 
Obtener pendiente
Derivamos la función, pues sabemos que la derivada nos indica la pendiente de la recta tangente

Evaluamos en 

Obtener las coordenadas del punto de tangencia

Evaluamos la función original en este punto
para obtener la ordenada

Obtener la ecuación de la recta normal



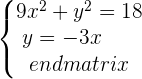
Dada la ecuación
, hallar la ecuación de la recta tangente que sea paralela a la recta de ecuación 
La ecuación
, al despejar
se puede reescribir

Derivando implícitamente la ecuación tenemos:

Y como la derivada nos da la pendiente de la recta tangente, la igualaremos a 3 pues es el valor que buscamos que tenga

Tenemos entonces el sistema de ecuaciones de 2x2

Resolvemos, sustituyendo la segunda ecuación en la primera

Para obtener la ordenada de los puntos sólo basta con sustituir el valor de
en la ecuación más sencilla del sistema


Obtenemos la ecuación de la recta en estos puntos
1 x=1



2 x=-1



Dada la parábola
, hallar la ecuación de la recta tangente que es paralela a la bisectriz del primer cuadrante
1 Encontrar los puntos
La bisectriz del primer cuadrante tiene de ecuación
, por tanto
.
Derivamos la ecuación de la parábola, pues sabemos que la derivada nos indica la pendiente

e igualamos a
y despejamos para calcular el valor de x en el que ocurre esto

Evaluamos la función original en este punto 

Entonces

2 Recta tangente




Dada la parábola
, hallar la ecuación de la recta normal a la bisectriz del primer cuadrante
1 Encontrar los puntos
La bisectriz del primer cuadrante tiene de ecuación
, por tanto
.
Derivamos la ecuación de la parábola, pues sabemos que la derivada nos indica la pendiente

e igualamos a
y despejamos para calcular el valor de x en el que ocurre esto

Evaluamos la función original en este punto 

Entonces

2 Recta normal



Determinación de parámetros
Determinar los valores del parámetro b, para qué las tangentes a la curva de la función
en los puntos de abscisas
,
sean paralelas
La derivada de
es

Para que sean paralelas se tiene que cumplir que las derivadas en
y
sean iguales. Es decir

Esto es



Determinar los valores del parámetro b, para qué las tangentes a la curva de la función
en los puntos de abscisas
,
sean paralelas
La derivada de
es

Para que sean paralelas se tiene que cumplir que las derivadas en
y
sean iguales. Es decir

Esto es



Una solución es

La otra es

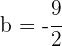
Hallar los coeficientes de la ecuación
, sabiendo que su gráfica pasa por
y por
, y en este último punto su tangente tiene de pendiente 
Obtenemos
ecuaciones al sustituir el valor de la abscisa en
e igualarla al valor de la ordenada de los puntos que pasan por la gráfica


Además la pendiente de la tangente está dada por

Si la pendiente en el punto
es 3, esto quiere decir que

Resolviendo el sistema de 3x3 se obtiene:

Y la ecuación queda

La gráfica de la función
pasa por los puntos
y
, siendo la tangente a la misma en el punto de abscisa
paralela a la bisectriz del primer cuadrante. Hallar el valor numérico de
y 
Obtenemos
ecuaciones al sustituir el valor de la abscisa en
e igualarla al valor de la ordenada de los puntos que pasan por la gráfica


Además la pendiente de la tangente está dada por

Si la pendiente en el punto
es paralela a la bisectriz cuadrante, esto quiere decir que la pendiente es 

Resolviendo el sistema se obtiene:

Y la ecuación queda

Dada la función
, determina
y
; sabiendo que la curva pasa por los puntos
. Además las tangentes en los puntos de abscisa
y [/latex]-2[/latex] son paralelas al eje 
Obtenemos
ecuaciones al sustituir el valor de la abscisa en
e igualarla al valor de la ordenada de los puntos que pasan por la gráfica


Además la pendiente de la tangente está dada por

Si la pendiente en el punto
es paralela a la bisectriz cuadrante, esto quiere decir que la pendiente es 


Resolviendo el sistema de
se obtiene:

Y la ecuación queda

Encontrar el ángulo o área
Dada la función
, hallar el ángulo que forma la recta tangente a la gráfica de la función
en el origen, con el eje de abscisas
La recta tangente a la gráfica tiene pendiente

En el origen esta pendiente es

Recodermos que la pendiente de una recta es igual a la tangente del ángulo que forma con el eje 

Entonces

Dada la función
, hallar el ángulo que forma la recta tangente a la gráfica de la función
en el origen, con el eje de abscisas
La recta tangente a la gráfica tiene pendiente

En el origen esta pendiente es

Recodermos que la pendiente de una recta es igual a la tangente del ángulo que forma con el eje 

Entonces

Dada la función
, hallar el ángulo que forma la recta tangente a la gráfica de la función
en el origen, con el eje de abscisas
La recta tangente a la gráfica tiene pendiente

En el origen esta pendiente es

Recodermos que la pendiente de una recta es igual a la tangente del ángulo que forma con el eje 

Entonces

Dada la función
, hallar el ángulo que forma la recta tangente a la gráfica de la función
en el origen, con el eje de abscisas
La recta tangente a la gráfica tiene pendiente

En el origen esta pendiente es

Recodermos que la pendiente de una recta es igual a la tangente del ángulo que forma con el eje 

Entonces

Hallar el área del triángulo determinado por los ejes de coordenadas y la tangente a la curva
en el punto 
Si
, entonces 
La pendiente de la recta tangente a la curva está dada por la derivada

Evaluamos para obtener la pendiente en 

La ordenada del punto se obtiene evaluando en la función original

Finalmente



Intersección con el eje OX

Un vértice es 
Intersección con el eje OY

Otro vértice es 
Y la figura es como a continuación

Como es un triángulo rectángulo, su base y altura están dados por los catetos, que en este caso ambos miden
. El área es

Resumir con IA:









Apuntes es una plataforma dirigida al estudio y la práctica de las matemáticas a través de la teoría y ejercicios interactivos que ponemos a vuestra disposición. Esta información está disponible para todo aquel/aquella que quiera profundizar en el aprendizaje de esta ciencia. Será un placer ayudaros en caso de que tengáis dudas frente algún problema, sin embargo, no realizamos un ejercicio que nos presentéis de 0 sin que hayáis si quiera intentado resolverlo. Ánimo, todo esfuerzo tiene su recompensa.
Felicitaciones, muy interesantes los problemas y sobretodo las gráficas. ¿Pueden indicarme que programa utilizan?
Hola te agradecemos tu comentario, si te refieres a graficar te recomendamos geogebra, symbolat y otros mas.
Cual es un buen graficador de funciones con cuadricula en el fondo y ejes coordenados para graficar funciones.He visto uno elaborado por Mariluna Saldivar Pat titulado «¿Que es una funcion lineal? pero no se con que programa hizo el dibujo
Hola en internet esta geogebra y simbolab que son los que yo uso, creo que si preguntas en el buscador te recomiendan otros muy buenos, los que mencione antes trabajo muy bien con ellos y los recomiendo.
Me ayudarian hacer la funcion lineal con grafico
Y=2×+1
La primera derivada se anula en x = 3. Por lo tanto 3 es otro punto crítico de la función del ejemplo.
Hola gracias por la observación, podrías hacernos el favor de mostrarnos la función que se deriva y se encuentran los puntos críticos.
Hola con gusto lo haremos, pero podrías señalar en que ejercicio quieres que lo hagamos, para poder ayudarte.