Capítulos
Cálculo de dominio de funciones
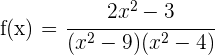
Calcular el dominio de

1Igualamos a cero el denominador 
2 Factorizamos el denominador 
3 Igualando los factores a cero se obtienen las raíces 
4 El dominio es

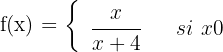
Calcular el dominio de

1 En el primer trozo se tiene que cumplir que el denominador sea distinto de cero, lo cual se cumple para
, luego el dominio para la primera parte es 
2 En el segundo trozo al ser 3 una constante siempre será positivo, solo estudiamos que el denominador sea mayor que cero
Luego el dominio para la segunda parte es 
3 El dominio de la función es

Simetría de funciones
Indica si la función
es par o impar.
1 Sustituimos
en la función 
2 Realizamos los desarrollos 
3 Como
, la función es simétrica respecto al eje de ordenadas. Concluimos que la función es par.
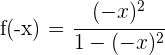
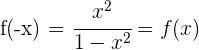
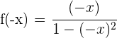
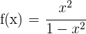
Indica si la función
es par o impar.
1Sustituimos
en la función 
2 Realizamos los desarrollos 
3 Como
, la función es simétrica respecto al origen. Concluimos que la función es impar.
Crecimiento y decrecimiento de funciones
Estudia el crecimiento o decrecimiento de la función
en 
1 Tomamos un incremento
en el punto

2 La función será creciente o decreciente en el punto
si lo es en el intervalo
. Para comprobarlo, calculamos la tasa de variación en el intervalo dado 
3 Como la tasa de variación es negativa en
, concluimos que la función es decreciente.
Estudia el crecimiento o decrecimiento de la función
en 
1 Tomamos un incremento
en el punto

2 La función será creciente o decreciente en el punto
si lo es en el intervalo
. Para comprobarlo, calculamos la tasa de variación en el intervalo dado 
3 Como la tasa de variación es positiva en
, concluimos que la función es creciente.
Función inversa
Hallar la función inversa de 
1 Se escribe la función con
e 

2 Elevamos al cubo en los dos miembros

3 Se despeja la variable
en función de la variable 

4 Se intercambian las variables

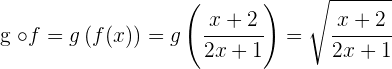
Dadas las funciones siguientes 
Calcular:





ACalculamos la composición 

B Calculamos la composición

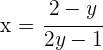
C 
Se escribe la función con
e 

Se despeja la variable
en función de la variable 

Se intercambian las variables

D 
Se escribe la función con
e 

Elevamos al cuadrado en los dos miembros y despejamos 

Se intercambian las variables

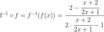
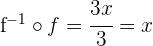
E Probar que: 
Realizamos la composición de funciones

Realizamos las operaciones

Simplificamos

Se cumple que la composición de una función con la función inversa es la función identidad
Resumir con IA:









Apuntes es una plataforma dirigida al estudio y la práctica de las matemáticas a través de la teoría y ejercicios interactivos que ponemos a vuestra disposición. Esta información está disponible para todo aquel/aquella que quiera profundizar en el aprendizaje de esta ciencia. Será un placer ayudaros en caso de que tengáis dudas frente algún problema, sin embargo, no realizamos un ejercicio que nos presentéis de 0 sin que hayáis si quiera intentado resolverlo. Ánimo, todo esfuerzo tiene su recompensa.
Felicitaciones, muy interesantes los problemas y sobretodo las gráficas. ¿Pueden indicarme que programa utilizan?
Hola te agradecemos tu comentario, si te refieres a graficar te recomendamos geogebra, symbolat y otros mas.
Cual es un buen graficador de funciones con cuadricula en el fondo y ejes coordenados para graficar funciones.He visto uno elaborado por Mariluna Saldivar Pat titulado «¿Que es una funcion lineal? pero no se con que programa hizo el dibujo
Hola en internet esta geogebra y simbolab que son los que yo uso, creo que si preguntas en el buscador te recomiendan otros muy buenos, los que mencione antes trabajo muy bien con ellos y los recomiendo.
Me ayudarian hacer la funcion lineal con grafico
Y=2×+1
La primera derivada se anula en x = 3. Por lo tanto 3 es otro punto crítico de la función del ejemplo.
Hola gracias por la observación, podrías hacernos el favor de mostrarnos la función que se deriva y se encuentran los puntos críticos.
Hola con gusto lo haremos, pero podrías señalar en que ejercicio quieres que lo hagamos, para poder ayudarte.