La continuidad es un concepto fundamental en el cálculo y el análisis matemático. Se refiere a la propiedad de una función de no tener saltos ni discontinuidades en su gráfica. Comprender la continuidad es esencial para comprender cómo se comportan las funciones en diferentes puntos de su dominio.
En esta serie de ejercicios de continuidad, exploraremos diversos aspectos relacionados con esta propiedad fundamental de las funciones. A través de estos ejercicios, aprenderás a identificar, analizar y resolver problemas que involucran continuidad, lo que te ayudará a desarrollar una base sólida en matemáticas y prepararte para abordar conceptos más avanzados en cálculo.
Indica los puntos donde la función no es continua

Selecciona una respuesta.
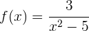
1 Los puntos donde la función no es continua, son aquellos donde el denominador es cero

2 Factorizamos el lado izquierdo, utilizando 

3 Igualamos cada factor a cero y obtenemos los puntos de discontinuidad



Selecciona una respuesta.
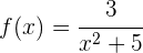
1 Los puntos donde la función no es continua, son aquellos donde el denominador es cero

2 El lado izquierdo no es posible factorizar en los números reales, ya que siempre es mayor que cero
3 Así, la función no tiene puntos de discontinuidad


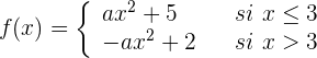
Selecciona una respuesta.
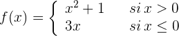
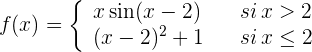
1 Los puntos donde la función a trozos podría ser discontinua, son aquellos donde se unen ambas partes de la función

2 Calculamos el límite en
, para lo cual se requieren los límites laterales

3 Como los límites laterales son distintos, entonces el límite no existe, por lo que la función tiene una discontinuidad de salto en 


Selecciona una respuesta.
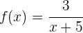
1 Los puntos donde la función no es continua, son aquellos donde el denominador es cero

2 Despejando se tiene que 
3 Para conocer el tipo de discontinuidad, calculamos el límite a partir de los límites laterales

4 Como los límites laterales son distintos, entonces el límite no existe, por lo que la función tiene una discontinuidad de salto infinito en 


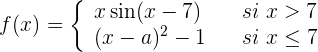
Selecciona una respuesta.
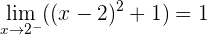
1 Los puntos donde la función a trozos podría ser discontinua, son aquellos donde se unen ambas partes de la función

2 Calculamos el límite en
, para lo cual se requieren los límites laterales

3 Como los límites laterales son iguales, entonces el límite existe y es igual a cero
4 Evaluamos la función en 

5 Concluimos que la función es continua en
y no posee puntos de discontinuidad


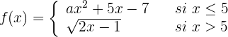
Selecciona una respuesta.
1 Los puntos donde la función a trozos podría ser discontinua, son aquellos donde se unen ambas partes de la función

2 Calculamos el límite en
, para lo cual se requieren los límites laterales

3 Como los límites laterales no son iguales, entonces el límite no existe en
y tiene una discontinuidad de salto uno

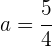
Calcular el valor de
para que la función sea continua

Selecciona una respuesta.
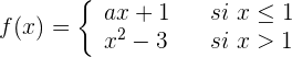
1 Para que la función sea continua en
se debe cumplir

2 Calculamos 

3 Calculamos el límite en
, para lo cual se requieren los límites laterales

4 Como los límites laterales deben ser iguales para que el límite exista, se tiene

5 De la igualdad anterior se tiene que 

Selecciona una respuesta.
1 Para que la función sea continua en
se debe cumplir

2 Calculamos 

3 Calculamos el límite en
, para lo cual se requieren los límites laterales

4 Como los límites laterales deben ser iguales para que el límite exista, se tiene

5 De la igualdad anterior se tiene que 

Selecciona una respuesta.
1 Para que la función sea continua en
se debe cumplir

2 Calculamos 

3 Calculamos el límite en
, para lo cual se requieren los límites laterales

4 Como los límites laterales deben ser iguales para que el límite exista, se tiene

5 De la igualdad anterior se tiene que 

Selecciona una respuesta.
1 Para que la función sea continua en
se debe cumplir

2 Calculamos 

3 Calculamos el límite en
, para lo cual se requieren los límites laterales

4 Como los límites laterales deben ser iguales para que el límite exista, se tiene

5 De la igualdad anterior se tiene que 
Si tienes dudas puedes consultar la teoría
Resumir con IA:

Apuntes es una plataforma dirigida al estudio y la práctica de las matemáticas a través de la teoría y ejercicios interactivos que ponemos a vuestra disposición. Esta información está disponible para todo aquel/aquella que quiera profundizar en el aprendizaje de esta ciencia. Será un placer ayudaros en caso de que tengáis dudas frente algún problema, sin embargo, no realizamos un ejercicio que nos presentéis de 0 sin que hayáis si quiera intentado resolverlo. Ánimo, todo esfuerzo tiene su recompensa.
Felicitaciones, muy interesantes los problemas y sobretodo las gráficas. ¿Pueden indicarme que programa utilizan?
Hola te agradecemos tu comentario, si te refieres a graficar te recomendamos geogebra, symbolat y otros mas.
Cual es un buen graficador de funciones con cuadricula en el fondo y ejes coordenados para graficar funciones.He visto uno elaborado por Mariluna Saldivar Pat titulado «¿Que es una funcion lineal? pero no se con que programa hizo el dibujo
Hola en internet esta geogebra y simbolab que son los que yo uso, creo que si preguntas en el buscador te recomiendan otros muy buenos, los que mencione antes trabajo muy bien con ellos y los recomiendo.
Me ayudarian hacer la funcion lineal con grafico
Y=2×+1
La primera derivada se anula en x = 3. Por lo tanto 3 es otro punto crítico de la función del ejemplo.
Hola gracias por la observación, podrías hacernos el favor de mostrarnos la función que se deriva y se encuentran los puntos críticos.
Hola con gusto lo haremos, pero podrías señalar en que ejercicio quieres que lo hagamos, para poder ayudarte.