En este artículo practicaremos la formulación de expresiones analíticas y gráficas de funciones lineales, cuadráticas, logarítmicas, exponenciales y de valor absoluto.
Calcular los coeficientes de la función
, si
y
.
A Representar la función
B Indicar los intervalos en los que la imagen de la función es positiva y negativa.
Calcular los coeficientes de la función
, si
y
.
:
Ahora para encontrar el valor de a, usemos que
y que
:
Por tanto la expresión analítica es:
.
y
y trazar la recta que contenga a ambos, como se muestra en la siguiente gráfica:
Le damos dos valores uno menor que –3 y otro mayor:
A la izquierda de –3 tenemos un intervalo negativo y a la derecha un intervalo positivo
Representa gráficamente 
Para realizar la gráfica de la parábola necesitamos el vértice y las intersecciones con los ejes coordenados.
.
es
.Así tenemos que
por lo cual
. Por tanto el vértice es:
.
2 Puntos de corte con el eje OX de 
Necesitamos determinar si existen valores de x tales que
tal que
. Notemos que como el determinante de la ecuación es cero no existen souciones reales (pues
entonces
. Por lo cual el punto de corte es
. Finalmente, utilizando la información anterior graficamos:

Una parábola tiene su vértice en el punto
y pasa por el punto
. Halla su ecuación.
Una parábola tiene su vértice en el punto
y pasa por el punto
. Halla su ecuación.
Una función de la forma
, tiene vértice
. Para calcular la coordenada
se usa lo siguiente:
. Como la coordenada
sustituimos y obtenemos la siguiente relación:

Sustituimos en la función
en los puntos que conocemos:
. Finalmente escribimos la función sustituyendo en
los valores obtenidos:
.
Encuentra la expresión analítica de la función.

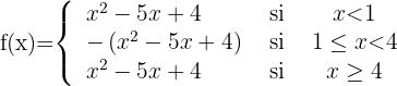
Encuentra la expresión analítica de la función

Como podemos observar la función está definida por partes, utilizando la formula punto-pendiente podemos obtener la ecuación de cada una de las funciones para finalmente obtener la siguiente expresión:

Representa la función gráficamente las siguientes funciones:
A
B
Primero, se iguala a cero la función, sin el valor absoluto, y se calculan sus raíces:
Entonces
o
. Después, se forman intervalos con las raíces y se evalúa el signo de cada intervalo

Definimos la función por partes, teniendo en cuenta que en los intervalos donde la x es negativa se cambia el signo de la función:

Finalmente, representamos la función:


Finalmente, graficamos:

Representa la función 

Para resolver, primero tabulamos algunos valores y luego graficamos: 

Representa la función exponencial 


Representa la función logarítmica 
Representa la función logarítmica
. Para resolver tabulamos algunos valores y luego graficamos:


Resumir con IA:

Apuntes es una plataforma dirigida al estudio y la práctica de las matemáticas a través de la teoría y ejercicios interactivos que ponemos a vuestra disposición. Esta información está disponible para todo aquel/aquella que quiera profundizar en el aprendizaje de esta ciencia. Será un placer ayudaros en caso de que tengáis dudas frente algún problema, sin embargo, no realizamos un ejercicio que nos presentéis de 0 sin que hayáis si quiera intentado resolverlo. Ánimo, todo esfuerzo tiene su recompensa.
Felicitaciones, muy interesantes los problemas y sobretodo las gráficas. ¿Pueden indicarme que programa utilizan?
Hola te agradecemos tu comentario, si te refieres a graficar te recomendamos geogebra, symbolat y otros mas.
Cual es un buen graficador de funciones con cuadricula en el fondo y ejes coordenados para graficar funciones.He visto uno elaborado por Mariluna Saldivar Pat titulado «¿Que es una funcion lineal? pero no se con que programa hizo el dibujo
Hola en internet esta geogebra y simbolab que son los que yo uso, creo que si preguntas en el buscador te recomiendan otros muy buenos, los que mencione antes trabajo muy bien con ellos y los recomiendo.
Me ayudarian hacer la funcion lineal con grafico
Y=2×+1
La primera derivada se anula en x = 3. Por lo tanto 3 es otro punto crítico de la función del ejemplo.
Hola gracias por la observación, podrías hacernos el favor de mostrarnos la función que se deriva y se encuentran los puntos críticos.
Hola con gusto lo haremos, pero podrías señalar en que ejercicio quieres que lo hagamos, para poder ayudarte.