1
Calcular diferenciales
Calcular el diferencial de las siguientes funciones:1. 
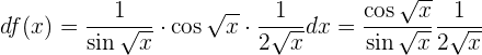
2. 
3. 
4. 
5. 
6. 
Solución
1 

2 


3 

4 

5 


6 
Aplicamos la definición de logaritmo:

Aplicando las propiedades de 

Entonces


2
Diferenciales como incremento
Calcular con diferenciales el incremento del área del cuadrado de 2m de lado, cuando aumentamos 1mm su lado.
Solución
La función de área está dada por





3
Diferenciales como incremento
Hallar la variación de volumen que experimenta un cubo, de arista 20 cm, cuando ésta aumenta 0.2 cm su longitud.
Solución
La función de volumen está dada por

donde x denota la medida de la arista Entonces su diferencial es

El cubo mide de lado 20cm

y este aumenta .2cm en longitud

Por lo tanto el incremento de volumen es

4
Diferenciales como error
Un cuadrado tiene 2m de lado. Determine el aumento del área del cuadrado cuando su lado lo hace en un milímetro. Calcule la magnitud del error que se comete al usar diferenciales en lugar de incrementos.
Solución
Usando incrementos




5
Diferenciales como error
Calcula el error absoluto y relativo cometido en el cálculo del volumen de una esfera de 6.26 mm de radio, medido con un instrumento que aprecia milésimas de centímetro.
Solución
El volumen de una esfera es

Su diferencial es

El valor del radio es de

y el error de este es de 0.001cm=0.01mm

Por lo tanto el error absoluto de volumen es

El error relativo es

6
se halla
. ¿Cuáles son las aproximaciones del error absoluto y relativo?
Diferenciales como error
Si en lugar de
se halla
. ¿Cuáles son las aproximaciones del error absoluto y relativo?Solución
Tenemos la función





Mientras que el error relativo es

Resumir con IA:

Apuntes es una plataforma dirigida al estudio y la práctica de las matemáticas a través de la teoría y ejercicios interactivos que ponemos a vuestra disposición. Esta información está disponible para todo aquel/aquella que quiera profundizar en el aprendizaje de esta ciencia. Será un placer ayudaros en caso de que tengáis dudas frente algún problema, sin embargo, no realizamos un ejercicio que nos presentéis de 0 sin que hayáis si quiera intentado resolverlo. Ánimo, todo esfuerzo tiene su recompensa.
Felicitaciones, muy interesantes los problemas y sobretodo las gráficas. ¿Pueden indicarme que programa utilizan?
Hola te agradecemos tu comentario, si te refieres a graficar te recomendamos geogebra, symbolat y otros mas.
Cual es un buen graficador de funciones con cuadricula en el fondo y ejes coordenados para graficar funciones.He visto uno elaborado por Mariluna Saldivar Pat titulado «¿Que es una funcion lineal? pero no se con que programa hizo el dibujo
Hola en internet esta geogebra y simbolab que son los que yo uso, creo que si preguntas en el buscador te recomiendan otros muy buenos, los que mencione antes trabajo muy bien con ellos y los recomiendo.
Me ayudarian hacer la funcion lineal con grafico
Y=2×+1
Hola agradecemos tu observación, podrías mencionar que ejercicio es el que tiene el error para poder rectificarlo nos seria de mucha ayuda.
hola soy profesor de scundaria y es =-13
Hola con gusto lo haremos, pero podrías señalar en que ejercicio quieres que lo hagamos, para poder ayudarte.