Dada la función
, estudiar si está acotada superiormente e inferiormente en el intervalo
e indica si alcanza sus valores máximos y mínimos.
La función es continua en el intervalo
, como consecuencia podemos afirmar que está acotada en dicho intervalo.
Ahora bien, por ser continua en el intervalo
se cumple el teorema de Weierstrass, que afirma que se alcanza al menos un máximo y un mínimo absolutos en el intervalo 
Probar que la función
es continua para todo
y probar que existe al menos una raíz real de la ecuación
.
La función es continua por ser la suma de funciones continuas.
Ahora bien consideremos el intervalo
, y notemos que

Es decir, en los extremos tiene valores de signo contrario. Por cumplirse el teorema de Bolzano, podemos afirmar que al menos existe un valor
que pertenece al intervalo
tal que:

Sean
y
dos funciones continuas en
y tales que
y
. Demostrar que
tal que
.
Sea la función
definida por
.
Por ser continuas
y
en
, la función
también lo es.
Ahora bien, notemos que

Por cumplirse las tres propiedades anteriores según el teorema de Bolzano, existe
tal que:

Comprobar que la siguiente función:
tiene al menos una solución real en el intervalo
.
Tenemos que
es una función polinómica, por lo que es continua en todo
, así que también es continua en el intervalo
.
Ahora vamos a comprobar los signos de los valores de la función en los extremos del intervalo:
y 
Ahora bien consideremos el intervalo
, y notemos que

Es decir, en los extremos tiene valores de signo contrario. Por cumplirse el teorema de Bolzano, podemos afirmar que al menos existe un valor
que pertenece al intervalo tal que
.
Determina si la siguiente función tiene un máximo y/o un mínimo en el intervalo propuesto y calcula dichos puntos:
.
El dominio de cualquier función cuadrática son todos los números reales: 
De modo que la función es continua en el intervalo
y verifica el teorema de Weierstrass. Así que la función tiene un mínimo absoluto y un máximo absoluto en este intervalo. Además, el vértice de esta parábola está en
, por tanto, la función es estrictamente creciente en el intervalo
y, en consecuencia, el mínimo se encuentra en
y el máximo en
.
Comprobar que la ecuación
tiene al menos una solución real en el intervalo
.
La ecuación al ser polinómica sabemos que es continua en
. Estudiamos el signo en los extremos del intervalo:

Como los signos son distintos se cumple el teorema de Bolzano , por tanto existe
tal que
.
Lo que demuestra que tiene una solución en ese intervalo.
Demuestra que existe al menos un número real
para el cual se verifica
.
Consideremos la función
, la cual es continua en
.
Notemos que cumple que
es decir, cambia de signo en el intervalo
.
Y del teorema de Bolzano ha de existir al menos un valor
tal que
. Por lo que 
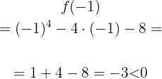
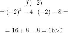
¿Tiene alguna raíz la siguiente ecuación?:
Si la respuesta es si, determinar un intervalo de amplitud menor que 2 en el que se encuentre la raíz..
Primero que nada tenemos que la función
, es continua por ser suma de dos funciones continuas.
Ahora bien, probemos como se comportan los signos entre
: 
Con esto debido al teorema de Bolzano podemos asegurar que existe
tal que
, es decir la ecuación
tiene al menos una raíz en el intervalo
.
Resumir con IA:

Apuntes es una plataforma dirigida al estudio y la práctica de las matemáticas a través de la teoría y ejercicios interactivos que ponemos a vuestra disposición. Esta información está disponible para todo aquel/aquella que quiera profundizar en el aprendizaje de esta ciencia. Será un placer ayudaros en caso de que tengáis dudas frente algún problema, sin embargo, no realizamos un ejercicio que nos presentéis de 0 sin que hayáis si quiera intentado resolverlo. Ánimo, todo esfuerzo tiene su recompensa.
Felicitaciones, muy interesantes los problemas y sobretodo las gráficas. ¿Pueden indicarme que programa utilizan?
Hola te agradecemos tu comentario, si te refieres a graficar te recomendamos geogebra, symbolat y otros mas.
Cual es un buen graficador de funciones con cuadricula en el fondo y ejes coordenados para graficar funciones.He visto uno elaborado por Mariluna Saldivar Pat titulado «¿Que es una funcion lineal? pero no se con que programa hizo el dibujo
Hola en internet esta geogebra y simbolab que son los que yo uso, creo que si preguntas en el buscador te recomiendan otros muy buenos, los que mencione antes trabajo muy bien con ellos y los recomiendo.
Me ayudarian hacer la funcion lineal con grafico
Y=2×+1
La primera derivada se anula en x = 3. Por lo tanto 3 es otro punto crítico de la función del ejemplo.
Hola gracias por la observación, podrías hacernos el favor de mostrarnos la función que se deriva y se encuentran los puntos críticos.
Hola con gusto lo haremos, pero podrías señalar en que ejercicio quieres que lo hagamos, para poder ayudarte.