La regla de L’Hospital es una herramienta poderosa del cálculo diferencial que permite evaluar ciertos límites indeterminados, como las formas
o
, entre otras. Esta técnica se basa en derivar el numerador y el denominador por separado, y luego volver a evaluar el límite.
A continuación encontrarás ejercicios resueltos paso a paso que muestran cómo aplicar la regla correctamente en diferentes contextos.
Resuelve los siguientes límites aplicando la regla de L'Hospital

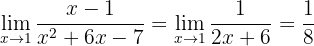
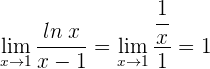
1 Se tiene la indeterminación 
2 Aplicamos la regla de L'Hôspital


1 Se tiene la indeterminación 
2 Aplicamos la regla de L'Hôspital


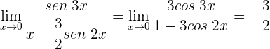
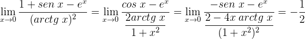
1 Se tiene la indeterminación 
2 Aplicamos la regla de L'Hôspital


1 Se tiene la indeterminación 
2 Aplicamos la regla de L'Hôspital


1 Se tiene la indeterminación 
2 Aplicamos la regla de L'Hôspital


1 Se tiene la indeterminación 
2 Aplicamos la regla de L'Hôspital

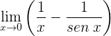
3Si comparamos infinitos para
observamos que el numerador es un infinito de orden inferior al denominador, por tanto el límite es 0.
4 Así el resultado es


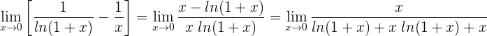
1 Se tiene la indeterminación 
2 Aplicamos la regla de L'Hôspital

3 Se vuelve a obtener la indeterminación 
4 Aplicamos la regla de L'Hôspital


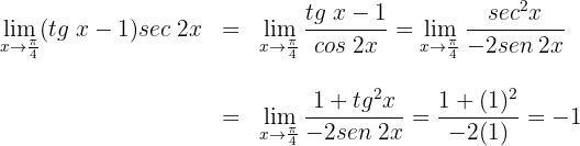
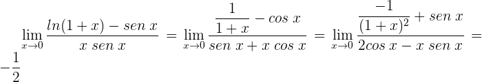
1 Al sustituir se tiene
por lo que utilizamos la identidad trigonométrica 

2 Se tiene la indeterminación 
3 Aplicamos la regla de L'Hôspital

4 Utilizamos la identidad trigonométrica 


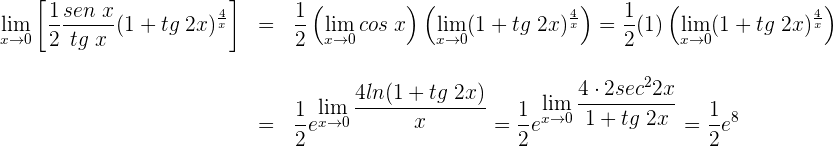
1 Al sustituir se tiene
por lo que aplicamos las propiedades de logaritmos y exponenciales para obtener
, así el límite se transforma en

2 Por las propiedades del límite para una función continua, tenemos

3 Aplicamos la regla de L'Hôspital, ya que se tiene una indeterminación

4 Utilizamos la identidad trigonométrica 

5 Se tiene la indeterminación 
6 Aplicamos la regla de L'Hôspital


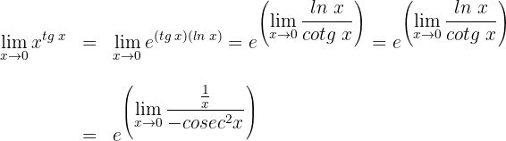
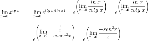
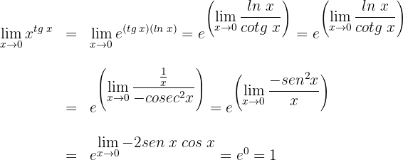
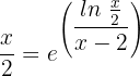
1 Al sustituir se tiene una indeterminación por lo que aplicamos las propiedades de logaritmos y exponenciales para obtener
, así el límite se transforma en

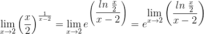
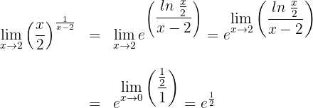
2 Utilizamos la identidad trigonométrica 

3 Por las propiedades del límite para una función continua, tenemos

4 Aplicamos la regla de L'Hôspital, ya que se tiene una indeterminación

5 Simplificamos y utilizamos la identidad trigonométrica 


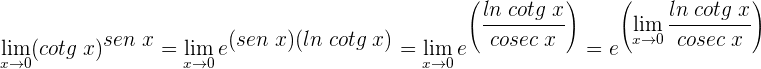
1 Al sustituir se tiene una indeterminación por lo que aplicamos las propiedades de logaritmos y exponenciales para obtener 

2 Por las propiedades del límite para una función continua, tenemos

3 Aplicamos la regla de L'Hôspital, ya que se tiene una indeterminación


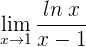
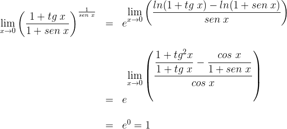
1 Al sustituir se tiene una indeterminación 
2 Aplicamos la regla de L'Hôspital, ya que se tiene una indeterminación


1 Al sustituir se tiene una indeterminación 
2 Aplicamos la regla de L'Hôspital, ya que se tiene una indeterminación


1 Aplicamos identidades trigonométricas

2 Al sustituir se tiene una indeterminación 
3 Aplicamos la regla de L'Hôspital, ya que se tiene una indeterminación


1 Aplicamos identidades trigonométricas y propiedades de límites

2 Al sustituir se tiene una indeterminación por ello aplicamos propiedades de logaritmos y exponenciales y la regla de L'Hôspital


1 Al sustituir se tiene una indeterminación 
2 Aplicamos la regla de L'Hôspital, ya que se tiene una indeterminación

3 Se vuelve a obtener una indeterminación por lo que aplicamos la regla de L'Hôspital


1 Al sustituir se tiene una indeterminación 
2 Aplicamos la regla de L'Hôspital, ya que se tiene una indeterminación

3 Se vuelve a obtener una indeterminación por lo que aplicamos la regla de L'Hôspital


1 Al sustituir se tiene una indeterminación 
2 Aplicamos la regla de L'Hôspital, ya que se tiene una indeterminación

3 Se vuelve a obtener una indeterminación por lo que aplicamos la regla de L'Hôspital


1 Al sustituir se tiene una indeterminación, por lo que aplicamos las propiedades de logaritmos y exponenciales

2 Aplicamos la regla de L'Hôspital, ya que se tiene una indeterminación


1 Al sustituir se tiene una indeterminación, por lo que aplicamos las propiedades de logaritmos y exponenciales

2 Aplicamos la regla de L'Hôspital, ya que se tiene una indeterminación

3 Al sustituir se tiene una indeterminación, por lo que aplicamos nuevamente la regla de L'Hôspital

Resumir con IA:

Apuntes es una plataforma dirigida al estudio y la práctica de las matemáticas a través de la teoría y ejercicios interactivos que ponemos a vuestra disposición. Esta información está disponible para todo aquel/aquella que quiera profundizar en el aprendizaje de esta ciencia. Será un placer ayudaros en caso de que tengáis dudas frente algún problema, sin embargo, no realizamos un ejercicio que nos presentéis de 0 sin que hayáis si quiera intentado resolverlo. Ánimo, todo esfuerzo tiene su recompensa.
Felicitaciones, muy interesantes los problemas y sobretodo las gráficas. ¿Pueden indicarme que programa utilizan?
Hola te agradecemos tu comentario, si te refieres a graficar te recomendamos geogebra, symbolat y otros mas.
Cual es un buen graficador de funciones con cuadricula en el fondo y ejes coordenados para graficar funciones.He visto uno elaborado por Mariluna Saldivar Pat titulado «¿Que es una funcion lineal? pero no se con que programa hizo el dibujo
Hola en internet esta geogebra y simbolab que son los que yo uso, creo que si preguntas en el buscador te recomiendan otros muy buenos, los que mencione antes trabajo muy bien con ellos y los recomiendo.
Me ayudarian hacer la funcion lineal con grafico
Y=2×+1
Hola agradecemos tu observación, podrías mencionar que ejercicio es el que tiene el error para poder rectificarlo nos seria de mucha ayuda.
hola soy profesor de scundaria y es =-13
Hola con gusto lo haremos, pero podrías señalar en que ejercicio quieres que lo hagamos, para poder ayudarte.