Capítulos
Optimización en figuras geométricas
Obtener el triángulo isósceles de área máxima inscrito en un círculo de radio
.
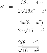
1 Representamos graficamente los datos

2Función a optimizar es la que representa el área del triángulo isósceles:

3Relacionamos las variables:

4Sustituimos en la función:

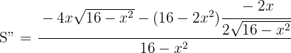
5Derivamos, igualamos a cero y calculamos las raíces

Igualamos a cero (en este caso basta solo el numerador) y calculamos las raíces

Sustituimos en la relación de
y
para obtener

Luego la base es 
y el lado es

6Realizamos la derivada segunda para comprobar el resultado obtenido

Al evaluar
se obtiene 
De este modo, el criterio de la segunda derivada afirma que "si la segunda derivada es menor que cero (negativa), entonces la función tiene un máximo relativo. En conclusión, para la altura máxima de
, existe un máximo relativo
Obtener el rectángulo de área máxima inscrito en un círculo de radio
.
1 Representamos graficamente los datos

2Función a optimizar es la que representa el área del rectángulo:

3Relacionamos las variables, para ello aplicamos el Teorema de Pitágoras al triángulo de la figura

4Sustituimos en la función:

5Derivamos, igualamos a cero y calculamos las raíces

Igualamos a cero (en este caso basta solo el numerador) y calculamos las raíces

Sustituimos en la relación de
y
para obtener

Como la base y la altura son iguales, se trata de un cuadrado de lado 
6Realizamos la derivada segunda para comprobar el resultado obtenido

Al evaluar
se obtiene 
De este modo, el criterio de la segunda derivada afirma que "si la segunda derivada es menor que cero (negativa), entonces la función tiene un máximo relativo. En conclusión, para el lado máxima de
, existe un máximo relativo
Un triángulo isósceles de perímetro
, gira alrededor de su altura
engendrando un cono. ¿Qué valor debe darse a la base para que el volumen del cono sea máximo?
1 Representamos graficamente los datos

2Función a optimizar es la que representa el área del triángulo isósceles:

3Relacionamos las variables:
Aplicamos el teorema de Pitágoras

Aplicamos el perímetro

Igualamos ambas expresiones y obtenemos

4Sustituimos en la función:

5Derivamos, igualamos a cero y calculamos las raíces

Igualamos a cero (en este caso basta solo el numerador) y calculamos las raíces

Luego la base es 
6Realizamos la derivada segunda para comprobar el resultado obtenido

Al evaluar
se obtiene 
De este modo, el criterio de la segunda derivada afirma que "si la segunda derivada es menor que cero (negativa), entonces la función tiene un máximo relativo. En conclusión, para el radio máximo de
, existe un máximo relativo
Hallar las dimensiones del mayor rectángulo inscrito en un triángulo isósceles que tiene por base
y por altura
.
1 Representamos graficamente los datos

2Función a optimizar

3Relacionamos las variables: al tener dos triángulos semejantes se obtiene

Aplicamos el perímetro

4Sustituimos en la función:

5Derivamos, igualamos a cero y calculamos las raíces

Igualamos a cero y calculamos las raíces

Luego la base es 
6Realizamos la derivada segunda para comprobar el resultado obtenido

Al evaluar
se obtiene 
De este modo, el criterio de la segunda derivada afirma que "si la segunda derivada es menor que cero (negativa), entonces la función tiene un máximo relativo. En conclusión, para
y
, existe un máximo relativo
Un sector circular tiene un perímetro de
. Calcular el radio y la amplitud del sector de mayor área.
1 Representamos graficamente los datos

2Función a optimizar

3Relacionamos las variables:

4Sustituimos en la función:

5Derivamos, igualamos a cero y calculamos las raíces

Igualamos a cero y calculamos las raíces

Luego 
6Realizamos la derivada segunda para comprobar el resultado obtenido

Al evaluar
se obtiene 
De este modo, el criterio de la segunda derivada afirma que "si la segunda derivada es menor que cero (negativa), entonces la función tiene un máximo relativo. En conclusión, para
,
y
, existe un máximo relativo
Optimizacion para el ahorro de material
Se pretende fabricar una lata de conserva cilíndrica (con tapa) de
litro de capacidad. ¿Cuáles deben ser sus dimensiones para que se utilice el mínimo posible de metal?
1Función a optimizar

2Relacionamos las variables:

3Sustituimos en la función:

4Derivamos, igualamos a cero y calculamos las raíces

Igualamos a cero y calculamos las raíces

Luego 
5Realizamos la derivada segunda para comprobar el resultado obtenido

Al evaluar
se obtiene 
De este modo, el criterio de la segunda derivada afirma que "si la segunda derivada es mayor que cero (positiva), entonces la función tiene un mínimo relativo. En conclusión, para
y
, existe un mínimo relativo
Se pretende fabricar una lata de conserva cilíndrica sin de
litro de capacidad. ¿Cuáles deben ser sus dimensiones para que se utilice el mínimo posible de metal?
1Función a optimizar

2Relacionamos las variables:

3Sustituimos en la función:

4Derivamos, igualamos a cero y calculamos las raíces

Igualamos a cero y calculamos las raíces

Luego 
5Realizamos la derivada segunda para comprobar el resultado obtenido

Al evaluar
se obtiene 
De este modo, el criterio de la segunda derivada afirma que "si la segunda derivada es mayor que cero (positiva), entonces la función tiene un mínimo relativo. En conclusión, para
y
, existe un mínimo relativo
Se tiene un alambre de
de longitud y se desea dividirlo en dos trozos para formar con uno de ellos un círculo y con el otro un cuadrado. Determinar la longitud que se ha de dar a cada uno de los trozos para que la suma de las áreas del círculo y del cuadrado sea mínima.
1Función a optimizar

2Relacionamos las variables:

3Sustituimos en la función:

4Derivamos, igualamos a cero y calculamos las raíces

Igualamos a cero y calculamos las raíces

Luego el trozo del círculo es
y el trozo del cuadrado es 
5Realizamos la derivada segunda para comprobar el resultado obtenido

De este modo, el criterio de la segunda derivada afirma que "si la segunda derivada es mayor que cero (positiva), entonces la función tiene un mínimo relativo.
Hallar las dimensiones que hacen mínimo el coste de un contenedor que tiene forma de paralelepípedo rectangular sabiendo que su volumen ha de ser
, su altura
y el coste de su construcción por
es de
€ para la base;
para la tapa y
para cada pared lateral.
1 Representamos graficamente los datos

2Función a optimizar

3Relacionamos las variables

4Sustituimos en la función:

5Derivamos, igualamos a cero y calculamos las raíces

Igualamos a cero y calculamos las raíces

Luego 
6Realizamos la derivada segunda para comprobar el resultado obtenido

Al evaluar
se obtiene 
De este modo, el criterio de la segunda derivada afirma que "si la segunda derivada es mayor que cero, entonces la función tiene un mínimo relativo.
Hallar las dimensiones que hacen mínimo el coste de un contenedor que tiene forma de paralelepípedo rectangular sabiendo que su volumen ha de ser
, su altura
y el coste de su construcción por
es de
€.
1 Representamos graficamente los datos

2Función a optimizar

3Relacionamos las variables

4Sustituimos en la función:

5Derivamos, igualamos a cero y calculamos las raíces

Igualamos a cero y calculamos las raíces

Luego 
6Realizamos la derivada segunda para comprobar el resultado obtenido

Al evaluar
se obtiene 
De este modo, el criterio de la segunda derivada afirma que "si la segunda derivada es mayor que cero, entonces la función tiene un mínimo relativo.
Diversos ejercicios sobre optimización
Descomponer el número
en dos sumandos tales que el producto sea máximo.
1Función a optimizar

2Relacionamos las variables:

3Sustituimos en la función:

4Derivamos, igualamos a cero y calculamos las raíces

Igualamos a cero y calculamos las raíces

Luego 
5Realizamos la derivada segunda para comprobar el resultado obtenido

De este modo, el criterio de la segunda derivada afirma que "si la segunda derivada es menor que cero, entonces la función tiene un máximo relativo.
Descomponer el número
en dos sumandos tales que el producto del cuadrado del primero por el segundo sea máximo.
1Función a optimizar

2Relacionamos las variables:

3Sustituimos en la función:

4Derivamos, igualamos a cero y calculamos las raíces

Igualamos a cero y calculamos las raíces

Luego 
5Realizamos la derivada segunda para comprobar el resultado obtenido

De este modo, el criterio de la segunda derivada afirma que "si la segunda derivada es menor que cero, entonces la función tiene un máximo relativo.
Descomponer el número
en dos sumandos tales que el quíntuplo del cuadrado del primero más el séxtuplo del cuadrado del segundo sea un mínimo.
1Función a optimizar

2Relacionamos las variables:

3Sustituimos en la función:

4Derivamos, igualamos a cero y calculamos las raíces

Igualamos a cero y calculamos las raíces

Luego 
5Realizamos la derivada segunda para comprobar el resultado obtenido

De este modo, el criterio de la segunda derivada afirma que "si la segunda derivada es mayor que cero (positiva), entonces la función tiene un mínimo relativo.
Recortando convenientemente en cada esquina de una lámina de cartón de dimensiones
un cuadrado de lado
y doblando convenientemente (véase figura), se construye una caja. Calcular
para que volumen de dicha caja sea máximo.
1 Representamos graficamente los datos

2Función a optimizar

3Derivamos, igualamos a cero y calculamos las raíces

Igualamos a cero y calculamos las raíces

pero
no es válida ya que 
4Realizamos la derivada segunda para comprobar el resultado obtenido

Al evaluar
se obtiene 
De este modo, el criterio de la segunda derivada afirma que "si la segunda derivada es menor que cero, entonces la función tiene un máximo relativo.
Una hoja de papel debe tener
de texto impreso, márgenes superior e inferior de
de altura y márgenes laterales de
de anchura. Obtener razonadamente las dimensiones que minimizan la superficie del papel.
1 Representamos graficamente los datos

2Función a optimizar

3Relacionamos las variables:

4Sustituimos en la función:

5Derivamos, igualamos a cero y calculamos las raíces

Igualamos a cero (basta solo el numerador) y calculamos las raíces

pero
no es válida
6Realizamos la derivada segunda para comprobar el resultado obtenido

Al evaluar
se obtiene 
De este modo, el criterio de la segunda derivada afirma que "si la segunda derivada es mayor que cero, entonces la función tiene un mínimo relativo.
Optimización para producción y ganancias
El valor de un rubí es proporcional al cuadrado de su peso. Divide un rubí de 2 g en dos partes de
gramos y de
gramos, de forma que la suma de los valores de los dos rubíes formados sea mínima.
1Función a optimizar

2Derivamos, igualamos a cero y calculamos las raíces

Igualamos a cero y calculamos las raíces

3Realizamos la derivada segunda para comprobar el resultado obtenido

De este modo, el criterio de la segunda derivada afirma que "si la segunda derivada es mayor que cero, entonces la función tiene un mínimo relativo.
La cotización de las sesiones de una determinada sociedad, suponiendo que la Bolsa funciona todos los días de un mes de 30 días, responde a la siguiente ley:
.
Determinar las cotizaciones máxima y mínima.
1Derivamos

2Igualamos a cero y calculamos las raíces

3Realizamos la derivada segunda para comprobar el resultado obtenido

De este modo, por el criterio de la segunda derivada se tiene un máximo a los 3 días y un mínimo a los 27 días.
La cotización de las sesiones de una determinada sociedad, suponiendo que la Bolsa funciona todos los días de un mes de 30 días, responde a la siguiente ley:
.
Determinar las cotizaciones máxima y mínima.
1Derivamos

2Igualamos a cero y calculamos las raíces

3Realizamos la derivada segunda para comprobar el resultado obtenido

De este modo, por el criterio de la segunda derivada se tiene un máximo a los 5 días y un mínimo a los 30 días.
La cotización de las sesiones de una determinada sociedad, suponiendo que la Bolsa funciona todos los días de un mes de días, responde a la siguiente ley:
.
Determinar las cotizaciones máxima y mínima.
1Derivamos

2Igualamos a cero y calculamos las raíces

3Realizamos la derivada segunda para comprobar el resultado obtenido

De este modo, por el criterio de la segunda derivada se tiene un máximo a los 10 días y un mínimo a los 15 días.
El beneficio neto mensual, en millones de euros, de una empresa que fabrica autobuses
viene dado por la función:

donde
es el número de autobuses fabricados en un mes.
1 Calcula la producción mensual que hacen máximo el beneficio.
2 El beneficio máximo correspondiente a dicha producción.
1Función a optimizar

2Derivamos, igualamos a cero y calculamos las raíces

Igualamos a cero y calculamos las raíces

3Realizamos la derivada segunda para comprobar el resultado obtenido

De este modo, el criterio de la segunda derivada afirma que "si la segunda derivada es menor que cero, entonces la función tiene un máximo relativo.
El beneficio máximo correspondiente a dicha producción

Problemas de optimización en la huerta
Cuáles son las dimensiones de un campo rectangular de 3600 metros cuadrados de superficie, para poderlo cercar con una valla de longitud mínima.
1Función a optimizar

Relacionamos las variables

Sustituimos en la función

2Derivamos, igualamos a cero y calculamos las raíces

Igualamos a cero y calculamos las raíces

Luego 
3Realizamos la derivada segunda para comprobar el resultado obtenido

De este modo, el criterio de la segunda derivada afirma que "si la segunda derivada es mayor que cero, entonces la función tiene un mínimo relativo.
Cuáles son las dimensiones de un campo rectangular de 3600 metros cuadrados de superficie, para poderlo cercar con una valla de longitud mínima, si uno de sus lados se encuentra en el borde de un rio.
1Función a optimizar

Relacionamos las variables

Sustituimos en la función

2Derivamos, igualamos a cero y calculamos las raíces

Igualamos a cero y calculamos las raíces

Luego 
3Realizamos la derivada segunda para comprobar el resultado obtenido

De este modo, el criterio de la segunda derivada afirma que "si la segunda derivada es mayor que cero, entonces la función tiene un mínimo relativo.
Un granjero quiere delimitar un terreno rectangular de 1000 metros cuadrados. El terreno debe estar cercado y dividido en dos partes iguales por medio de una cerca paralela a dos lados. ¿Cuáles son las dimensiones del terreno que emplea la mínima cantidad de cerca?
1Consideramos el terreno con base
y altura
. La función a optimizar es

Relacionamos las variables

Sustituimos en la función

2Derivamos, igualamos a cero y calculamos las raíces

Igualamos a cero y calculamos las raíces

Luego 
3Realizamos la derivada segunda para comprobar el resultado obtenido

De este modo, el criterio de la segunda derivada afirma que "si la segunda derivada es mayor que cero, entonces la función tiene un mínimo relativo.
Un granjero quiere delimitar un terreno rectangular de 1000 metros cuadrados. El terreno debe estar cercado y dividido en tres partes iguales por medio de una cerca paralela a dos lados. ¿Cuáles son las dimensiones del terreno que emplea la mínima cantidad de cerca?
1Consideramos el terreno con base
y altura
. La función a optimizar es

Relacionamos las variables

Sustituimos en la función

2Derivamos, igualamos a cero y calculamos las raíces

Igualamos a cero y calculamos las raíces

Luego 
3Realizamos la derivada segunda para comprobar el resultado obtenido

De este modo, el criterio de la segunda derivada afirma que "si la segunda derivada es mayor que cero, entonces la función tiene un mínimo relativo.
Una huerta tiene actualmente
árboles, que producen
frutos cada uno.
Se calcula que por cada árbol adicional plantado, la producción de cada árbol disminuyeen
frutos.
Calcular:
1 La producción actual de la huerta.
2 La producción que se obtendría de cada árbol si se plantan
árboles más.
3 La producción a la que ascendería el total de la huerta si se plantan
árboles más.
4 ¿Cuál debe ser el número total de árboles que debe tener la huerta para qué la
producción sea máxima?
1 La producción actual de la huerta.
Producción actual:
frutos.
2 La producción que se obtendría de cada árbol si se plantan
árboles más.
Si se plantan
árboles más, la producción de cada árbol será:
.
3 La producción a la que ascendería el total de la huerta si se plantan
árboles más.

4 ¿Cuál debe ser el número total de árboles que debe tener la huerta para qué la producción sea máxima?

Igualamos la derivada a cero

Calculamos la segunda derivada

La producción será máxima si la huerta tiene
ó
árboles









Apuntes es una plataforma dirigida al estudio y la práctica de las matemáticas a través de la teoría y ejercicios interactivos que ponemos a vuestra disposición. Esta información está disponible para todo aquel/aquella que quiera profundizar en el aprendizaje de esta ciencia. Será un placer ayudaros en caso de que tengáis dudas frente algún problema, sin embargo, no realizamos un ejercicio que nos presentéis de 0 sin que hayáis si quiera intentado resolverlo. Ánimo, todo esfuerzo tiene su recompensa.
Me ayudarian hacer la funcion lineal con grafico
Y=2×+1
La primera derivada se anula en x = 3. Por lo tanto 3 es otro punto crítico de la función del ejemplo.
Hola gracias por la observación, podrías hacernos el favor de mostrarnos la función que se deriva y se encuentran los puntos críticos.
El Punto de inflexión en el ejercicio 2: f(x) = x^3 + x + 1 debe ser (0, 1)
Hola agradecemos tu comentario, tenias razón era un error que ya se corrigió.
la grafica esta mal echa de signos de cada cuadrante
Hola te agradecemos por visitar nuestra pagina, podrías mencionar el número de ejercicio para poder rectificar esos errores que mencionas.
Se podría añadir un poco más de explicación a por que se hace cada paso ( ejemplo porque se divide todo por x ^2?)
Hola agradecemos que puedas darnos tu opinión, cuando surja una duda en este espacio de los comentarios estaremos atentos para darte una explicación con respecto a algo que no entiendas, exista un error o se pueda mejorar una explicación, solo comunícalo y te contestaremos.