Ejercicios propuestos
Representar las siguientes funciones, estudiando su:
- Dominio
- Simetría
- Puntos de corte con los ejes
- Asíntotas y ramas parabólicas
- Crecimiento y decrecimiento
- Máximos y mínimos
- Concavidad y convexidad
- Puntos de inflexión

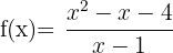
Dominio
Consideramos donde no se anula el denominador: 
Simetría 
Puntos de corte con los ejes
Puntos de corte con OX:
Punto de corte con OY: 
Asíntotas
Asíntota horizontal
Asintotas verticales
Asintota oblicua
entonces 
Crecimiento y decrecimiento
y 
Además
entonces : Creciente de
.
Máximo y minimos No existen extremos locales.
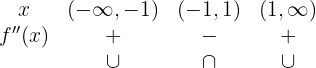
Concavidad y convexidad
Tenemos que
y
entonces
Convexa: 
Cóncava: 
Puntos de inflexión No hay punto de inflexión.
Representación gráfica


Dominio

Simetria

Puntos de corte con los ejes
Puntos de corte con OX: 
Punto de corte con OY:
Asíntotas
Asíntota horizontal:

No hay asíntotas verticales ni oblicuas.
Crecimiento y decrecimiento
y
entonces
Creciente: 
Decreciente: 
Máximos
Máximo 
Concavidad y convexidad
de aquí
y
entonces 
Convexa:
Cóncava: 
Puntos de inflexión 
Representación gráfica


Dominio 
Puntos de corte con los ejes
Corte en el eje X:
Corte eje Y: 
Simetrías
La función no es par ni impar.
Asíntotas
Verticales:
No tiene porque 
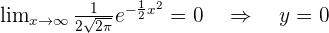
Horizontales:
porque
Oblicuas: No tiene porque
. Puntos singulares y crecimiento: 
Decrece en
y crece en
.
Mínimo en
.
Puntos de inflexión y concavidad
Cóncava hacia abajo en
y cóncava hacia arriba en
. Punto de inflexión: 
Representación gráfica 

Dominio

Puntos de corte con los ejes
Corte con el eje
:
Simetrías
La función no es par ni impar.
Asíntotas
Verticales:
No tiene porque 
Horizontales:
en
porque 
Oblicuas: No tiene.
Puntos singulares y crecimiento
No tiene máximos y mínimos la función es siempre creciente.
Puntos de inflexión y concavidad 
No tiene puntos de inflexión. Cóncava hacia arriba en
.
Representación gráfica


Dominio:

Puntos de corte con los ejes:
No corta a ninguno de los ejes.
Simetrías:
La función no es par ni impar.
Asíntotas:
Verticales:
porque 
Horizontales:
en
porque 
Oblicuas: No tiene.
Puntos singulares y crecimiento:

Decrece en
y crece en
.
Mínimo en
.
Puntos de inflexión y concavidad:
No tiene puntos de inflexión. Cóncava hacia abajo en
y cóncava hacia arriba en
.
Representación gráfica 

Dominio

Puntos de corte con los ejes:
Corte con el eje Y: No tieneCorte con el eje X: 
Simetrias: La función no es par ni impar.
Asíntotas:Verticales: No tiene.Horizontales: No tiene.Oblicuas: No tiene.
Puntos singulares y crecimiento:
Decrece en
y crece en
. Mínimo relativo en
.
Puntos de inflexión y concavidad:
Cóncava hacia arriba en 
Representación gráfica 

Dominio

Puntos de corte con los ejes:
Corte en el eje X:
Corte en el eje Y: 
Simetrías:La función no es par ni impar.
Asíntotas:Verticales:
porque
Horizontales: No tiene. Oblicuas: No tiene.
Puntos singulares y crecimiento
no tiene extremos relativos y la función es creciente en todo su dominio.
Puntos de inflexión y concavidad
No tiene puntos de inflexión. Cóncava hacia abajo en
.
Representación gráfica 
Resumir con IA:

Apuntes es una plataforma dirigida al estudio y la práctica de las matemáticas a través de la teoría y ejercicios interactivos que ponemos a vuestra disposición. Esta información está disponible para todo aquel/aquella que quiera profundizar en el aprendizaje de esta ciencia. Será un placer ayudaros en caso de que tengáis dudas frente algún problema, sin embargo, no realizamos un ejercicio que nos presentéis de 0 sin que hayáis si quiera intentado resolverlo. Ánimo, todo esfuerzo tiene su recompensa.
Felicitaciones, muy interesantes los problemas y sobretodo las gráficas. ¿Pueden indicarme que programa utilizan?
Hola te agradecemos tu comentario, si te refieres a graficar te recomendamos geogebra, symbolat y otros mas.
Cual es un buen graficador de funciones con cuadricula en el fondo y ejes coordenados para graficar funciones.He visto uno elaborado por Mariluna Saldivar Pat titulado «¿Que es una funcion lineal? pero no se con que programa hizo el dibujo
Hola en internet esta geogebra y simbolab que son los que yo uso, creo que si preguntas en el buscador te recomiendan otros muy buenos, los que mencione antes trabajo muy bien con ellos y los recomiendo.
Me ayudarian hacer la funcion lineal con grafico
Y=2×+1
La primera derivada se anula en x = 3. Por lo tanto 3 es otro punto crítico de la función del ejemplo.
Hola gracias por la observación, podrías hacernos el favor de mostrarnos la función que se deriva y se encuentran los puntos críticos.
Hola con gusto lo haremos, pero podrías señalar en que ejercicio quieres que lo hagamos, para poder ayudarte.