Gráfica de una función
La gráfica de una función está formada por el conjunto de puntos
cuando
varía en el dominio
.
Gráfica
</p >
Para representarla calcularemos aquellos puntos o intervalos donde la función tiene un comportamiento especial, que determinaremos mediante el estudio de los siguientes apartados:
1. Dominio de la función.
2. Simetría
3. Periodicidad
4. Puntos de corte con los ejes.
5. Asíntotas
6. Ramas parabólicas
7. Crecimiento y Decrecimiento
8. Máximos y mínimos
9. Concavidad y convexidad
10. Puntos de inflexión
¿Cómo representar funciones?

Dominio

No tiene solución

Simetría

Simetría respecto al origen, es decir, la función es impar.
Puntos de corte
Punto de corte con
:

Punto de corte con
:

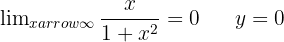
Asíntotas
Asíntota horizontal

No tiene asíntotas verticales ni oblicuas.
Crecimiento y decrecimiento


Creciente 
Decreciente 
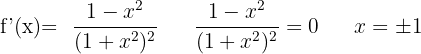
Máximos y mínimos
Candidatos a extremos:
y 

hay un mínimo en
</p >
Mínimo 
hay un máximo en 
Máximo 
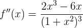
Concavidad y convexidad


Convexa 
Cóncava 
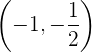
Puntos de inflexión
</p >
Representación gráfica

Resumir con IA:









Apuntes es una plataforma dirigida al estudio y la práctica de las matemáticas a través de la teoría y ejercicios interactivos que ponemos a vuestra disposición. Esta información está disponible para todo aquel/aquella que quiera profundizar en el aprendizaje de esta ciencia. Será un placer ayudaros en caso de que tengáis dudas frente algún problema, sin embargo, no realizamos un ejercicio que nos presentéis de 0 sin que hayáis si quiera intentado resolverlo. Ánimo, todo esfuerzo tiene su recompensa.
Felicitaciones, muy interesantes los problemas y sobretodo las gráficas. ¿Pueden indicarme que programa utilizan?
Hola te agradecemos tu comentario, si te refieres a graficar te recomendamos geogebra, symbolat y otros mas.
Cual es un buen graficador de funciones con cuadricula en el fondo y ejes coordenados para graficar funciones.He visto uno elaborado por Mariluna Saldivar Pat titulado «¿Que es una funcion lineal? pero no se con que programa hizo el dibujo
Hola en internet esta geogebra y simbolab que son los que yo uso, creo que si preguntas en el buscador te recomiendan otros muy buenos, los que mencione antes trabajo muy bien con ellos y los recomiendo.
Me ayudarian hacer la funcion lineal con grafico
Y=2×+1
La primera derivada se anula en x = 3. Por lo tanto 3 es otro punto crítico de la función del ejemplo.
Hola gracias por la observación, podrías hacernos el favor de mostrarnos la función que se deriva y se encuentran los puntos críticos.
Hola con gusto lo haremos, pero podrías señalar en que ejercicio quieres que lo hagamos, para poder ayudarte.