Ejercicios de optimización utilizando derivadas.
Ejercicios propuestos
El valor de un rubí es proporcional al cuadrado de su peso. Divide un rubí de  g en dos partes de
g en dos partes de  gramos y de
 gramos y de  gramos, de forma que la suma de los valores de los dos rubíes formados sea mínima.
 gramos, de forma que la suma de los valores de los dos rubíes formados sea mínima.
El valor de dos rubíes será, en función del peso de uno de ellos:

Calculamos la derivada e igualamos a cero para encontrar valores críticos:

Calculamos la derivada segunda y sustituimos:

Por tanto, el rubí se ha de dividir en dos partes iguales de  g.
g.
Encontrar, de entre todas las rectas que pasan por por el punto  aquella que forma con la partes positivas de los ejes de coordenadas un triángulo de área mínima.
 aquella que forma con la partes positivas de los ejes de coordenadas un triángulo de área mínima.
De la forma punto-pendiente de la recta tenemos que la ecuación de la recta que pasa por el punto  es
 es
Puesto que queremos que los vértices queden en las partes positivas de los ejes coordenados necesitamos el valor que toma  cuando
 cuando  y el valor que toma
 y el valor que toma  cuando
 cuando 

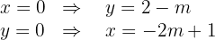
Por tanto  y
 y  vértices del triangulo.
 vértices del triangulo.

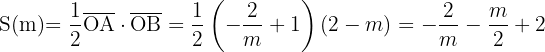
Ahora bien, queremos que el área del triangulo formado por la recta sea mínima, recordemos que el area del triangulo es  en este caso queda
 en este caso queda 
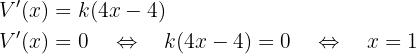
Calculamos la derivada e igualamos a cero para encontrar valores críticos: 

Notemos que con  no se formaría un triángulo porque las coordenadas de A y B coinciden con el origen de coordenadas, por tanto tomamos
 no se formaría un triángulo porque las coordenadas de A y B coinciden con el origen de coordenadas, por tanto tomamos 
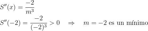
Calculamos la derivada segunda y sustituimos:

Por tanto, la recta es la que tiene pendiente 

Una boya, formada por dos conos rectos de hierro unidos por sus bases ha de ser construido mediante dos placas circulares de  m de radio. Calcular las dimensiones de la boya para que su volumen sea máximo.
 m de radio. Calcular las dimensiones de la boya para que su volumen sea máximo.

Recordemos que la formula del volumen del cono es en este caso de acuerdo a la figura tendríamos que la función a optimizar es
 en este caso de acuerdo a la figura tendríamos que la función a optimizar es 
Relacionamos las variables: 
Sustituimos en la función:  Derivamos, igualamos a cero y calculamos las raíces.
 Derivamos, igualamos a cero y calculamos las raíces.

Realizamos la derivada segunda para comprobar el resultado obtenido 
Hallar dos números que sumados den 20 y cuyo producto sea máximo.
Sean  ,
,  los números buscados. El problema a resolver seria el siguiente:
 los números buscados. El problema a resolver seria el siguiente:

Sea  y como
 y como  entonces
 entonces  , sustituyendo resulta:
, sustituyendo resulta:
Vamos a calcular el (o los) máximo(s) de la función  
  
  
 
Cuáles son las dimensiones de un campo rectangular de  de superficie, para poderlo cercar con una valla de longitud mínima.
 de superficie, para poderlo cercar con una valla de longitud mínima.
Sean  los lados del rectángulo, sabemos por la formula del área del rectángulo que
 los lados del rectángulo, sabemos por la formula del área del rectángulo que


Por otro lado, la superficie que tenemos que vallar  , es decir, es la función a minimizar.Tenemos que
, es decir, es la función a minimizar.Tenemos que  Llamando
 Llamando  y sustituyendo
 y sustituyendo  obtenemos:
 obtenemos:

Vamos a minimizar  :
 : 
Calculando la segunda derivada y sustituyendo 
Por tanto, las dimensiones son 
Descomponer el número  en dos sumandos tales que el quíntuplo del cuadrado del primero más el séxtuplo del cuadrado del segundo sea un mínimo.
 en dos sumandos tales que el quíntuplo del cuadrado del primero más el séxtuplo del cuadrado del segundo sea un mínimo.
Queremos descomponer el numero  en dos sumandos, entonces
 en dos sumandos, entonces  y queremos que el quíntuplo del cuadrado del primero más el séxtuplo del cuadrado del segundo sea un mínimo por tanto
 y queremos que el quíntuplo del cuadrado del primero más el séxtuplo del cuadrado del segundo sea un mínimo por tanto 
Puesto que  sustituimos "
 sustituimos " "
" 
Derivando e igualando a cero  
 
Calculando la segunda derivada  Por tanto mínimo y los números son
 Por tanto mínimo y los números son

El beneficio neto mensual, en millones de euros, de una empresa que fabrica autobuses viene dado por la función:
 donde
 donde  es el número de autobuses fabricados en un mes. Calcula la producción mensual que hacen máximo el beneficio.
 es el número de autobuses fabricados en un mes. Calcula la producción mensual que hacen máximo el beneficio.
Derivamos la función del beneficio mensual e igualamos a cero 

Calculamos la segunda derivada y sustituimos 
Por tanto máximo.
Halla dos números tales que el cuadrado de uno multiplicado por el otro sea máximo, si la suma de dichos números es  .
.
Conisderemos  los numero buscados, tenemos que
 los numero buscados, tenemos que  
 
Llamamos  .
.
Puesto que  entonces se tiene que
 entonces se tiene que  y por tanto:
 y por tanto:

Vamos a maximizar la función  
 
 Cargando...
Cargando...
Apuntes es una plataforma dirigida al estudio y la práctica de las matemáticas a través de la teoría y ejercicios interactivos que ponemos a vuestra disposición. Esta información está disponible para todo aquel/aquella que quiera profundizar en el aprendizaje de esta ciencia. Será un placer ayudaros en caso de que tengáis dudas frente algún problema, sin embargo, no realizamos un ejercicio que nos presentéis de 0 sin que hayáis si quiera intentado resolverlo. Ánimo, todo esfuerzo tiene su recompensa.
Me ayudarian hacer la funcion lineal con grafico
Y=2×+1
La primera derivada se anula en x = 3. Por lo tanto 3 es otro punto crítico de la función del ejemplo.
Hola gracias por la observación, podrías hacernos el favor de mostrarnos la función que se deriva y se encuentran los puntos críticos.
El Punto de inflexión en el ejercicio 2: f(x) = x^3 + x + 1 debe ser (0, 1)
Hola agradecemos tu comentario, tenias razón era un error que ya se corrigió.
la grafica esta mal echa de signos de cada cuadrante
Hola te agradecemos por visitar nuestra pagina, podrías mencionar el número de ejercicio para poder rectificar esos errores que mencionas.
Se podría añadir un poco más de explicación a por que se hace cada paso ( ejemplo porque se divide todo por x ^2?)
Hola agradecemos que puedas darnos tu opinión, cuando surja una duda en este espacio de los comentarios estaremos atentos para darte una explicación con respecto a algo que no entiendas, exista un error o se pueda mejorar una explicación, solo comunícalo y te contestaremos.