Capítulos
Si
y
son derivables en
, se dice que
es un punto de inflexión si se cumple que:
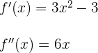
1
2
Cálculo de los puntos de inflexión
Para hallar los puntos de inflexión, seguiremos los siguientes pasos:
1 Hallamos la derivada segunda y calculamos sus raíces.
2 Realizamos la derivada tercera, y calculamos el valor que toman en ella los ceros de derivada segunda
3 Si el resultado es diferente de cero, tenemos un punto de inflexión.
4 Calculamos la imagen del punto de inflexión.
Ejemplo:
Hallar los puntos de inflexión de 
1 Hallamos la derivada segunda y calculamos sus raíces.

es la única raíz de 
2 Realizamos la derivada tercera, y calculamos el valor que toman en ella los ceros de derivada segunda

3 Como
es diferente de cero, tenemos un punto de inflexión.
4 Calculamos la imagen del punto de inflexión.

La función tiene un punto de inflexión en 
Puntos de inflexión a partir de la concavidad y convexidad
Si ya hemos estudiado la concavidad y convexidad de una función habrá:
Puntos de inflexión en los puntos en que esta pasa de cóncava a convexa o viscecersa.
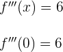
Ejemplo:
Hallar los puntos de inflexión de 
1Hallamos el dominio de la función, esto es, los valores donde el denominador es distinto de cero. Como
se anula para
, el dominio es:

2 Hallamos la derivada segunda y calculamos sus raíces.

es la única raíz de 
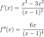
3La raíz de
divide al dominio en tres partes, las cuales pueden ser cóncavas o convexas

4Verificamos la concavidad y convexidad para cada intervalo, para esto tomamos un representante y lo evaluamos en 

es cóncava en
y convexa en
.
5Tenemos un punto de inflexión en
, ya que la función pasa de cóncava a convexa.
6 Calculamos la imagen del punto de inflexión.

La función tiene un punto de inflexión en 









Apuntes es una plataforma dirigida al estudio y la práctica de las matemáticas a través de la teoría y ejercicios interactivos que ponemos a vuestra disposición. Esta información está disponible para todo aquel/aquella que quiera profundizar en el aprendizaje de esta ciencia. Será un placer ayudaros en caso de que tengáis dudas frente algún problema, sin embargo, no realizamos un ejercicio que nos presentéis de 0 sin que hayáis si quiera intentado resolverlo. Ánimo, todo esfuerzo tiene su recompensa.
Me ayudarian hacer la funcion lineal con grafico
Y=2×+1
La primera derivada se anula en x = 3. Por lo tanto 3 es otro punto crítico de la función del ejemplo.
Hola gracias por la observación, podrías hacernos el favor de mostrarnos la función que se deriva y se encuentran los puntos críticos.
El Punto de inflexión en el ejercicio 2: f(x) = x^3 + x + 1 debe ser (0, 1)
Hola agradecemos tu comentario, tenias razón era un error que ya se corrigió.
la grafica esta mal echa de signos de cada cuadrante
Hola te agradecemos por visitar nuestra pagina, podrías mencionar el número de ejercicio para poder rectificar esos errores que mencionas.
Se podría añadir un poco más de explicación a por que se hace cada paso ( ejemplo porque se divide todo por x ^2?)
Hola agradecemos que puedas darnos tu opinión, cuando surja una duda en este espacio de los comentarios estaremos atentos para darte una explicación con respecto a algo que no entiendas, exista un error o se pueda mejorar una explicación, solo comunícalo y te contestaremos.