Capítulos

De la gráfica podemos observar que
1
2
Caso 2: Si 0 < a < 1

De la gráfica podemos observar que
1
2
Ejemplos
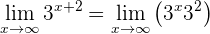
1
Solución:
Aplicamos la siguiente ley de los exponentes: 

Aplicamos límite a cada elemento del producto y obtenemos

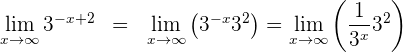
2
Solución:
Aplicamos las siguientes leyes de los exponentes: 

Aplicamos límite a cada elemento del producto

Aplicamos límite a cada elemento del cociente y obtenemos

3
Solución:
Aplicamos la siguiente ley de los exponentes: 

Aplicamos límite a cada elemento del producto y obtenemos

4
Solución:
Aplicamos la siguiente ley de los exponentes: 

Aplicamos límite a cada elemento del producto y obtenemos

Resumir con IA:









Apuntes es una plataforma dirigida al estudio y la práctica de las matemáticas a través de la teoría y ejercicios interactivos que ponemos a vuestra disposición. Esta información está disponible para todo aquel/aquella que quiera profundizar en el aprendizaje de esta ciencia. Será un placer ayudaros en caso de que tengáis dudas frente algún problema, sin embargo, no realizamos un ejercicio que nos presentéis de 0 sin que hayáis si quiera intentado resolverlo. Ánimo, todo esfuerzo tiene su recompensa.
Felicitaciones, muy interesantes los problemas y sobretodo las gráficas. ¿Pueden indicarme que programa utilizan?
Hola te agradecemos tu comentario, si te refieres a graficar te recomendamos geogebra, symbolat y otros mas.
Cual es un buen graficador de funciones con cuadricula en el fondo y ejes coordenados para graficar funciones.He visto uno elaborado por Mariluna Saldivar Pat titulado «¿Que es una funcion lineal? pero no se con que programa hizo el dibujo
Hola en internet esta geogebra y simbolab que son los que yo uso, creo que si preguntas en el buscador te recomiendan otros muy buenos, los que mencione antes trabajo muy bien con ellos y los recomiendo.
Me ayudarian hacer la funcion lineal con grafico
Y=2×+1
La primera derivada se anula en x = 3. Por lo tanto 3 es otro punto crítico de la función del ejemplo.
Hola gracias por la observación, podrías hacernos el favor de mostrarnos la función que se deriva y se encuentran los puntos críticos.
Hola con gusto lo haremos, pero podrías señalar en que ejercicio quieres que lo hagamos, para poder ayudarte.