Escoge la función a la que corresponde cada una de las siguientes gráficas:
1
La gráfica dada es una dilatación de la parábola , puesto que es más "achatada" que esta. Por tanto, podemos deducir que es la tercera opción, es decir,
También podemos reconocer la opción correcta sin más que dar algunos valores. Por ejemplo, la gráfica muestra que la función debe pasar por el punto , y podemos comprobar que la única opción que verifica esto es la tercera.
2
Se trata de una parábola con las ramas hacia abajo por lo que el coeficiente que acompaña al término de segundo grado debe ser negativo. Así, podemos descartar la primera opción.
Para saber cuál de las dos opciones restantes es la correcta basta comprobar alguno de los puntos de la gráfica. Por ejemplo, el punto debe ser un punto de la misma. Si tomamos
en la segunda opción obtenemos
, con lo que también podemos descartar esta función.
Por tanto, la solución del ejercicio es la tercera expresión dada, es decir,
3
La gráfica dada es una traslación de la parábola . Al estar trasladada una unidad hacia arriba nos indica que el término independiente debe ser
, con lo que la opción correcta es la primera, es decir,
.
También podemos resolver el ejercicio tomando algún (o algunos) punto de la gráfica y comprobando para qué expresión se cumple. Por ejemplo, la gráfica dada pasa por el punto y, tomando
, sólo obtenemos
con la primera función, lo que nos lleva a que esta es la correcta.
4
La gráfica es una parábola con las ramas hacia arriba, por lo que el coeficiente del término de segundo grado debe ser positivo. Entonces, la última expresión queda descartada.
Observando la gráfica tenemos que para y debe valer
, lo cual sólo se verifica para la segunda opción (
), lo que nos lleva a que esta es la correcta.
Escoge la gráfica a la que corresponde cada una de las siguientes funciones:
5
Por ser positivo el coeficiente que acompaña al término de segundo grado se trata de una parábola con las ramas hacia arriba, con lo que la tercera opción queda descartada. Por otro lado, para se tiene
y podemos observar que
es punto de la primera gráfica pero no de la segunda. Por tanto, la opción correcta es la primera.
Como hemos comprobado es fácil resolver el ejercicio sin más que fijarnos en ciertos detalles relevantes. De todas formas, si queremos dibujar una parábola a partir de su expresión analítica conviene seguir un procedimiente general, como sigue:
En primer lugar, observemos que el coeficiente del término de segundo grado es positivo (), con lo que la parábola tendrá las ramas hacia arriba, es decir, la gráfica será de la forma:

Vértice



Con los datos que tenemos podemos hacernos una idea de cómo será la gráfica de nuestra parábola:
Cortes con los ejes.
Corte con el eje
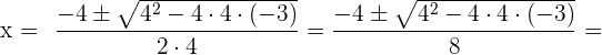
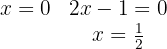
Mirando el esbozo que ya hemos hecho podemos deducir que esta parábola no tiene cortes con el eje de coordenadas. Pero también podemos hacerlos resolviendo la ecuación de segundo grado como se muestra a continuación:


Por tanto, no hay ningún corte con el eje .
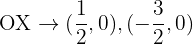
Corte con el eje

Corte
Ya sabemos otro punto por donde pasará la gráfica:

Tabla de valores.
![]() | ![]() |
---|---|
![]() | ![]() |
![]() | ![]() |
![]() | ![]() |
![]() | ![]() |
![]() | ![]() |
Ya tenemos puntos suficientes con los que dibujar la gráfica de la parábola:

Por tanto, la gráfica de la parábola es:

6
Por ser positivo el coeficiente que acompaña al término de segundo grado se trata de una parábola con las ramas hacia arriba, con lo que la segunda opción queda descartada. Por otro lado, para se tiene
y podemos observar que
es punto de la primera gráfica pero no de la tercera. Por tanto, la opción correcta es la primera.
Procedimiento general:
En primer lugar, observemos que el coeficiente del término de segundo grado es positivo , con lo que la parábola tendrá las ramas hacia arriba, es decir, la gráfica será de la forma:

Vértice



Con los datos que tenemos podemos hacernos una idea de cómo será la gráfica de nuestra parábola:

Cortes con los ejes.
Corte con el eje




Corte
Corte con el eje

Corte
Ya sabemos otros puntos de la gráfica:

Tabla de valores.
![]() | ![]() |
---|---|
![]() | ![]() |
![]() | ![]() |
![]() | ![]() |
![]() | ![]() |
![]() | ![]() |
Ya tenemos puntos suficientes con los que dibujar la gráfica de la parábola:

Por tanto, la gráfica de la parábola es:

7
Se trata de una dilatación de la parábola . Así, la segunda opción queda descartada, puesto que aunque sea una dilatación también es una traslación. Además, al ser una dilatación (el coeficiente de
es un número entre 0 y 1) debe ser más "ancha" que la parábola
. Por tanto, la opción correcta es la primera.
Procedimiento general:
En primer lugar, observemos que el coeficiente del término de segundo grado es positivo , con lo que la parábola tendrá las ramas hacia arriba, es decir, la gráfica será de la forma:

Vértice



Con los datos que tenemos podemos hacernos una idea de cómo será la gráfica de nuestra parábola:

Cortes con los ejes.
Corte con el eje



Corte
Corte con el eje

Corte
Tabla de valores.
![]() | ![]() |
---|---|
![]() | ![]() |
![]() | ![]() |
![]() | ![]() |
![]() | ![]() |
![]() | ![]() |
Ya tenemos puntos suficientes con los que dibujar la gráfica de la parábola:

Por tanto, la gráfica de la parábola es:

8
Por ser negativo el coeficiente que acompaña al término de segundo grado se trata de una parábola con las ramas hacia abajo, con lo que la priemra opción queda descartada. Por otro lado, para se tiene
y podemos observar que
es punto de la segunda gráfica pero no de la tercera. Por tanto, la opción correcta es la segunda.
Procedimiento general:
En primer lugar, observemos que el coeficiente del término de segundo grado es negativo , con lo que la parábola tendrá las ramas hacia abajo, es decir, la gráfica será de la forma:

Vértice



Con los datos que tenemos podemos hacernos una idea de cómo será la gráfica de nuestra parábola:

Cortes con los ejes.
Corte con el eje





Corte
Corte con el eje

Corte
Tabla de valores.
![]() | ![]() |
---|---|
![]() | ![]() |
![]() | ![]() |
![]() | ![]() |
![]() | ![]() |
![]() | ![]() |
Ya tenemos puntos suficientes con los que dibujar la gráfica de la parábola:

Por tanto, la gráfica de la parábola es:

Si tienes dudas puedes consultar la teoría o buscar alguna clase de algebra basica en nuestra plataforma.
Apuntes es una plataforma dirigida al estudio y la práctica de las matemáticas a través de la teoría y ejercicios interactivos que ponemos a vuestra disposición. Esta información está disponible para todo aquel/aquella que quiera profundizar en el aprendizaje de esta ciencia. Será un placer ayudaros en caso de que tengáis dudas frente algún problema, sin embargo, no realizamos un ejercicio que nos presentéis de 0 sin que hayáis si quiera intentado resolverlo. Ánimo, todo esfuerzo tiene su recompensa.
Me ayudarian hacer la funcion lineal con grafico
Y=2×+1
La primera derivada se anula en x = 3. Por lo tanto 3 es otro punto crítico de la función del ejemplo.
Hola gracias por la observación, podrías hacernos el favor de mostrarnos la función que se deriva y se encuentran los puntos críticos.
El Punto de inflexión en el ejercicio 2: f(x) = x^3 + x + 1 debe ser (0, 1)
Hola agradecemos tu comentario, tenias razón era un error que ya se corrigió.
la grafica esta mal echa de signos de cada cuadrante
Hola te agradecemos por visitar nuestra pagina, podrías mencionar el número de ejercicio para poder rectificar esos errores que mencionas.
Se podría añadir un poco más de explicación a por que se hace cada paso ( ejemplo porque se divide todo por x ^2?)
Hola agradecemos que puedas darnos tu opinión, cuando surja una duda en este espacio de los comentarios estaremos atentos para darte una explicación con respecto a algo que no entiendas, exista un error o se pueda mejorar una explicación, solo comunícalo y te contestaremos.