Capítulos
Antes de empezar con los ejercicios, es importante recordar la base.
¿Qué es una función cuadrática?
Una función cuadrática es una función polinómica de segundo grado y su regla de correspondencia es
, donde
son constantes reales y 
El gráfico de una función cuadrática es una cónica (círculo, elipse, parábola o hipérbola),
pero en esta sección resolveremos funciones cuadráticas de parábolas únicamente.
El gráfico de
(la función cuadrática más simple), permite observar algunas características de las parábolas. Entre otras cosas,
y
para cualquier otro valor real de
. Por lo tanto, la función tiene un mínimo en el punto
, que se llama la cumbre de la parábola.
Si
la parábola se encuentra en la parte inferior (se abre hacia arriba)
Si
, la parábola se encuentra en la parte superior (se abre hacia abajo)
¿Cómo resolver y representar una función cuadrática?
Hay dos métodos para resover y representar una función cuadrática. A continuación detallamos los pasos de cada uno de ellos:
Fórmula del vértice
1Encontrar los valores de
.
2Encontrar el valor
del vértice con la fórmula del vértice.
3Hallar el valor de
sustituyendo el valor de 
4Escribir las coordenadas
.
Resolver el cuadrado
1Escribir la ecuación.
2Dividir por el valor del término
.
3Mover la constante de la ecuación a la derecha.
4Completar el cuadrado al lado izquierdo de la ecuación.
5Factorizar el lado izquierdo de la ecuación.
6Hallar y escribir las coordenadas
.
Ejercicios propuestos
Resuelve y representa las siguientes funciones cuadráticas

1 Vértice
Aplicamos la fórmula del vértice

Así, el vértice es 
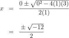
2 Puntos de corte con el eje 
Igualamos la función a cero y calculamos sus soluciones

La cual no tiene soluciones en los reales
Así, no hay intersecciones con el eje 
3 Punto de corte con el eje 

Así, las intersección con el eje
es 
4 Con los datos anteriores, la representación gráfica es


1 Vértice
Aplicamos la fórmula del vértice

Así, el vértice es 
2 Puntos de corte con el eje 
Igualamos la función a cero y calculamos sus soluciones

Así, las intersecciones con el eje
son 
3 Punto de corte con el eje 

Así, las intersección con el eje
es 
4 Con los datos anteriores, la representación gráfica es


1 Vértice
Aplicamos la fórmula del vértice

Así, el vértice es 
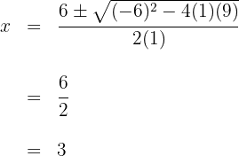
2 Puntos de corte con el eje 
Igualamos la función a cero y calculamos sus soluciones

Obtenemos las soluciones 
Así, las intersecciones con el eje
son
y 
3 Punto de corte con el eje 

Así, las intersección con el eje
es 
4 Con los datos anteriores, la representación gráfica es


1 Vértice
Aplicamos la fórmula del vértice

Así, el vértice es 
2 Puntos de corte con el eje 
Igualamos la función a cero y calculamos sus soluciones

Obtenemos la solución 
Así, las intersecciones con el eje
es 
3 Punto de corte con el eje 

Así, las intersección con el eje
es 
4 Con los datos anteriores, la representación gráfica es


1 Vértice
Aplicamos la fórmula del vértice

Así, el vértice es 
2 Puntos de corte con el eje 
Igualamos la función a cero y calculamos sus soluciones

Como el discriminante es negativo,
, no hay intersecciones con el eje
es 
3 Punto de corte con el eje 

Así, las intersección con el eje
es 
4 Con los datos anteriores, la representación gráfica es

Halla el vértice y la ecuación del eje de simetría de las siguientes parábolas
1
;
2
;
3
;
4
;
5
;
6
;
7
;
8
;
9
;
10
El vértice de la parábola
viene dado por
y el eje de simetría por
. Para la parábola
, el vértice viene dado por
1


2


3


4


5


6


7


8


9


10


Indica, sin dibujarlas, en cuantos puntos cortan al eje de abscisas las siguientes parábolas
1
;
2
;
3
;
4
;
5
.
Aplicamos el discriminante
y a partir de su signo concluimos si las parábolas cortan 2 veces, 1 vez o ninguna vez al eje de las abscisas.
1
Calculamos el discriminante

Calculamos el discriminante

Como el discriminante es positivo, se tienen dos puntos de corte.
3
Calculamos el discriminante

Calculamos el discriminante

Como el discriminante es cero, se tiene un punto de corte.
5
Calculamos el discriminante

Como el discriminante es positivo, se tienen dos puntos de corte.
Una función cuadrática tiene una expresión de la forma
y pasa por el punto
. Calcular el valor de 
1Sustituimos el punto en la función

Una función cuadrática tiene una expresión de la forma
y pasa por el punto
. Calcular el valor de 
1Sustituimos el punto en la función

2Resolvemos para 

Se sabe que la función cuadrática de la forma
pasa por los puntos
y
. Calcula
y 
1Sustituimos el valor de cada punto en 

2Se obtiene el siguiente sistema de ecuaciones

3Resolviendo el sistema se obtiene 
Una parábola tiene su vértice en el punto
y pasa por el punto
. Hallar su ecuación
1La ecuación se expresa de la forma
2Sustituimos los valores del vértice

3Sustituimos los valores del punto
por donde pasa y despejamos 

4Sustituimos el valor de 

Una parábola tiene su vértice en el punto
y pasa por el punto
. Hallar su ecuación
1La ecuación se expresa de la forma
2Sustituimos los valores del vértice

3Sustituimos los valores del punto
por donde pasa y despejamos 

4Sustituimos el valor de
y desarrollamos

Partiendo de la gráfica de la función
, representa:
1
;
2
;
3
;
4
;
5
;
6
;
7
;
8
;
9
;
10
;
Emplearemos la gráfica 

1
Volteamos sobre el eje
y trasladamos la gráfica de
de manera que el vértice se encuentre en 

2
Volteamos sobre el eje
y trasladamos la gráfica de
de manera que el vértice se encuentre en 

3
Volteamos sobre el eje
y trasladamos la gráfica de
de manera que el vértice se encuentre en 

4
Volteamos sobre el eje
y trasladamos la gráfica de
de manera que el vértice se encuentre en 

5
Trasladamos la gráfica de
de manera que el vértice se encuentre en 

6
Trasladamos la gráfica de
de manera que el vértice se encuentre en 

7
Trasladamos la gráfica de
de manera que el vértice se encuentre en 

8
Trasladamos la gráfica de
de manera que el vértice se encuentre en 

9
Trasladamos la gráfica de
de manera que el vértice se encuentre en 

10
Trasladamos la gráfica de
de manera que el vértice se encuentre en 

Encuentra la ecuación de la parábola con foco
y vértice 
1El foco se encuentra por encima del vértice, así la parábola abre hacia arriba
2Calculamos la distancia del foco al vértice, la cual es 3
3 Empleamos la fórmula

donde
igual al recíproco de cuatro veces la distancia del foco al vértice. Así, 
4Luego, la ecuación de la parábola es

Encuentra la ecuación de la parábola con foco
y vértice 
1El foco se encuentra por debajo del vértice, así la parábola abre hacia abajo
2Calculamos la distancia del foco al vértice, la cual es 2
3 Empleamos la fórmula

donde
igual al recíproco de cuatro veces la distancia del foco al vértice. Así, 
4Luego, la ecuación de la parábola es

Resumir con IA:









Apuntes es una plataforma dirigida al estudio y la práctica de las matemáticas a través de la teoría y ejercicios interactivos que ponemos a vuestra disposición. Esta información está disponible para todo aquel/aquella que quiera profundizar en el aprendizaje de esta ciencia. Será un placer ayudaros en caso de que tengáis dudas frente algún problema, sin embargo, no realizamos un ejercicio que nos presentéis de 0 sin que hayáis si quiera intentado resolverlo. Ánimo, todo esfuerzo tiene su recompensa.
Felicitaciones, muy interesantes los problemas y sobretodo las gráficas. ¿Pueden indicarme que programa utilizan?
Hola te agradecemos tu comentario, si te refieres a graficar te recomendamos geogebra, symbolat y otros mas.
Cual es un buen graficador de funciones con cuadricula en el fondo y ejes coordenados para graficar funciones.He visto uno elaborado por Mariluna Saldivar Pat titulado «¿Que es una funcion lineal? pero no se con que programa hizo el dibujo
Hola en internet esta geogebra y simbolab que son los que yo uso, creo que si preguntas en el buscador te recomiendan otros muy buenos, los que mencione antes trabajo muy bien con ellos y los recomiendo.
Me ayudarian hacer la funcion lineal con grafico
Y=2×+1
La primera derivada se anula en x = 3. Por lo tanto 3 es otro punto crítico de la función del ejemplo.
Hola gracias por la observación, podrías hacernos el favor de mostrarnos la función que se deriva y se encuentran los puntos críticos.
Hola con gusto lo haremos, pero podrías señalar en que ejercicio quieres que lo hagamos, para poder ayudarte.